La suberosis es un tipo de neumonitis por hipersensibilidad causada por la exposición a proteínas propias del corcho y a hongos tales como Aspergillus fumigatus y Penicillium frequentans. Presentamos el caso de un varón afectado de suberosis en quien el agente implicado fue Mucor sp., hongo hasta ahora prácticamente no descrito como causante de neumonitis por hipersensibilidad. Además, se trata de un caso con una presentación clínica atípica, que comenzó con síntomas y pruebas de función pulmonar en forma de obstrucción, y en el que no se evidenciaron alteraciones en las pruebas de imagen. El diagnóstico se obtuvo a partir de los resultados del análisis del lavado broncoalveolar y de una biopsia transbronquial. La identificación del agente responsable se realizó por medio de una prueba de provocación bronquial específica.
Suberosis is a type of hypersensitivity pneumonitis caused by exposure to cork proteins and molds such as Aspergillus fumigatus and Penicillium frequentans. We present the case of a man with suberosis caused by Mucor species, a mold that has been rarely reported to cause hypersensitivity pneumonitis. Furthermore, the patient had symptoms and lung function tests indicating bronchial obstruction—an atypical presentation of hypersensitivity pneumonitis. No imaging abnormalities were observed. A diagnosis was made on the basis of bronchoalveolar lavage and transbronchial biopsy findings. Mucor species was identified as the causative agent using a specific bronchial challenge test.
El término neumonitis por hipersensibilidad (NH) hace referencia a un grupo heterogéneo de enfermedades pulmonares que se caracterizan por una reacción inmunitaria anormal a antígenos que contienen una amplia variedad de polvos orgánicos1. La lista de enfermedades y antígenos involucrados en la génesis de las NH sigue creciendo desde la primera descripción del pulmón de granjero en 1932, siendo unas de las más frecuentes el propio pulmón del granjero, el pulmón del cuidador de aves, la espartosis y la suberosis2. En el caso concreto de la suberosis, se han descrito como agentes etiológicos de la enfermedad las proteínas propias del corcho y hongos tales como Aspergillus fumigatus y Penicillium frequentans3. Presentamos el caso de un varón de 44 años, trabajador de la industria del corcho, con suberosis, en el que se demostró que el agente causal era Mucor sp. Además, la presentación clínica fue en forma de obstrucción bronquial, hecho relativamente poco frecuente en las NH.
Observación clínicaVarón de 44 años de edad, exfumador desde hacía más de 15 años, con una exposición de 5 paquetes-año, sin antecedentes patológicos de interés. Trabajaba en la industria del corcho desde hacía 15 años, en la manufacturación y manipulación de la materia prima. Desde hacía 3 años presentaba un cuadro progresivo de tos seca, disnea de esfuerzo y sibilantes, síntomas que relacionaba con la exposición laboral y que mejoraban los fines de semana y en período vacacional. Ocasionalmente presentaba también síntomas de rinitis y conjuntivitis. La auscultación respiratoria mostraba la presencia de sibilantes en ambos campos pulmonares; el resto de la exploración era física normal. La analítica de sangre mostró 11.200 leucocitos (un 78% neutrófilos, un 13% linfocitos, un 1,3% eosinófilos y un 6,6% monocitos), un hematócrito del 50%, inmunoglobulina E total de 40U/l e inmunoglobulina E específica frente a neumoalérgenos habituales negativa. La inmunoglobulina G específica para Mucor mucedo, A. fumigatus, P. frequentans y proteínas de corcho fue negativa. Una radiografía de tórax y una tomografía axial computarizada (TAC) de tórax fueron normales. Las pruebas de función pulmonar evidenciaron un trastorno ventilatorio obstructivo moderado-grave, con una capacidad vital forzada de 3,32l (72%), volumen espiratorio forzado en el primer segundo (FEV1) de 2,07l (55%) y FEV1% del 62%. La capacidad pulmonar total fue de 6,11l (97%) y el volumen residual de 2,74l (149%). El test de transferencia de monóxido de carbono mostró un descenso moderado de la capacidad de difusión (DLCO), cuyo valor fue de 4,96mmol/min/kPa (48%), y una DLCO/volumen alveolar de 0,97mmol/min/kPa/l (51%). La prueba broncodilatadora fue negativa. El cultivo del esputo del paciente y el de la muestra de corcho con el que trabajaba fueron positivos para Mucor sp. Una prueba de punción frente a M. mucedo, P. frequentans, A. fumigatus y proteínas del corcho fue negativa, pero la intradermorreacción a una concentración de 1/10 de M. mucedo, A. fumigatus y proteínas del corcho mostró una induración de 14×16; 11×14, y 9×11, respectivamente, a los 15min de la inyección. Ante la sospecha de NH se practicó una fibrobroncoscopia, cuyo broncoaspirado resultó negativo para células malignas. El lavado broncoalveolar mostró un recuento celular con un 42% de macrófagos, un 32% de linfocitos y un 26% de polimorfonucleares. Se realizó una biopsia transbronquial que objetivó una moderada neumonitis intersticial crónica de tipo linfocítico, con granulomas no necrosantes (figura 1). Se efectuó una prueba de provocación bronquial específica (PPBE) frente a M. mucedo que resultó positiva (figura 2). Con el diagnóstico de suberosis, se apartó al paciente del ámbito laboral, con lo que experimentó una mejoría clínica progresiva. Tras 6 meses sin trabajar, se evidenció una mejoría en las pruebas de función pulmonar, con una capacidad vital forzada de 4,20l (91%), FEV1 de 2,60l (73%) y FEV1% del 61%, así como test de transferencia de monóxido de carbono con una DLCO del 62% y una relación DLCO/volumen alveolar del 60% con respecto al valor teórico.
Figura 1. Biopsia transbronquial. Se observan engrosamiento de septos, moderado infiltrado linfocitario y un granuloma laxo (flecha).
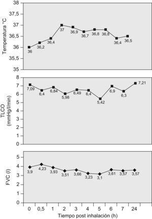
Figura 2. Prueba de provocación bronquial específica frente a Mucor mucedo a una concentración de 1/10. La prueba se consideró positiva al constatarse un descenso del 18% en la capacidad vital forzada (FVC) y del 24% en la transferencia de monóxido de carbono (TLCO), y un aumento de temperatura de 1°C.
DiscusiónEl presente caso demuestra que Mucor sp. puede ser causa de NH. Éste es un agente que tan sólo se había implicado anteriormente en un caso de NH por inhalación de vapores de jacuzzi junto con otros agentes tales como Bacillus subtilis y Saccharomyces cerevisiae4. En el caso concreto de la suberosis, los agentes causales hasta ahora demostrados han sido las proteínas del corcho, P. frecuentans y A. fumigatus3. Si bien nuestro grupo ya había señalado que, además del corcho, Mucor sp. y Rhizopus sp. podrían estar también implicados en la génesis de esta enfermedad3, nunca hasta ahora se había demostrado su causalidad. Aunque la intradermorreacción fue positiva tanto a M. mucedo y A. fumigatus como a proteínas de corcho, se sospechó que Mucor sp. podía ser el agente etiológico en este caso, al ser el único hongo que se aisló en el cultivo del corcho con el que trabajaba el paciente y al aislarse también en el cultivo del esputo. Sin duda, la positividad de la PPBE a este agente nos permite afirmar con seguridad su implicación en la génesis de esta enfermedad, aunque no podemos descartar la implicación de los otros 2 agentes, al no haber realizado una PPBE para los mismos.
Otra particularidad de este caso es la forma de presentación clínica. En efecto, el cuadro clínico de comienzo podría simular un asma bronquial o una enfermedad pulmonar obstructiva crónica, ya que se inició con tos seca, sibilantes y disnea de esfuerzo en relación con el trabajo. Además, un estudio de función pulmonar demostró una obstrucción moderada-grave. Sin embargo, llamaban la atención la negatividad de la prueba broncodilatadora y el acusado descenso de la DLCO, que no se corregía con el volumen alveolar, así como una radiografía y una TAC torácicas estrictamente normales. Aunque la presentación clínica en forma de obstrucción bronquial es excepcional en las NH, hay evidencias de que tal forma de inicio no es infrecuente5,6,7. Efectivamente, en una serie reciente de 86 pacientes con NH del cuidador de aves, se objetivó que, a pesar de que la restricción en las pruebas de función pulmonar es el patrón ventilatorio más frecuente, hasta en un 13% de los casos hay obstrucción bronquial y puede llegar a desarrollarse enfisema en las formas más avanzadas de la enfermedad8, tal como han evidenciado también otros autores en el caso del pulmón del granjero9.
El descenso de la DLCO con una TAC torácica normal es lo que indujo a pensar que el paciente podía estar afectado de una NH. Este diagnóstico se confirmó mediante el resultado del lavado broncoalveolar y la biopsia transbronquial. Si bien el descenso en el test de transferencia de monóxido de carbono es típico en las NH y además puede considerarse un importante factor de predicción de la evolución de la enfermedad8, no ocurre lo mismo con la TAC torácica. En este sentido, la forma de presentación radiológica más frecuente en las NH son las opacidades en vidrio deslustrado y los micronódulos en las formas subagudas de la enfermedad, así como la aparición de zonas de atrapamiento aéreo en estudios espiratorios5,10. El aumento de densidad lineal (84%), las áreas de panalización (16%) y las bronquiectasias por tracción (53%) son hallazgos más o menos característicos en las formas crónicas de la enfermedad11,12. El hallazgo de una TAC torácica dentro de la normalidad puede observarse hasta en un 16% de los casos1.
En conclusión, podemos afirmar que Mucor sp. es un agente que puede estar implicado en algunos casos de suberosis y que debe tenerse en cuenta al evaluar las distintas NH. Además, es importante destacar que, aunque no es característico, puede diagnosticarse una NH sin que haya alteración en los estudios radiológicos y a pesar de que el patrón ventilatorio y los síntomas del paciente sean de carácter obstructivo.









