Introducción
La nicotina se considera una sustancia de alto poder adictivo1. La dependencia y abstinencia a la nicotina se consideran trastornos derivados del consumo de tabaco, tal como se refleja en la cuarta edición del Manual diagnóstico y estadístico de las enfermedades mentales de la American Psychiatric Association2. La nicotina actúa en el sistema nervioso central al unirse a receptores nicotínicos localizados en la región presináptica, lo que da lugar a la liberación de sustancias transmisoras como la acetilcolina, la dopamina, la noradrenalina, la serotonina y la betaendorfina, entre otras. Los efectos de la nicotina sobre la transmisión dopaminérgica y noradrenérgica mediatizan sus propiedades gratificantes; los efectos neuroadaptativos de estos sistemas tras la administración repetida de nicotina se relacionarían con la aparición de los distintos signos y síntomas de abstinencia3-5.
Junto a la dependencia física derivada de la administración continuada de esta sustancia existe una dependencia psicológica (también llamada psicosocial o conductual) desarrollada por el fumador, al afrontar diversas situaciones más o menos estresantes con la "ayuda" de un cigarrillo y al asociar el consumo de éstos con determinadas situaciones sociales6. Todos los componentes de la dependencia se encuentran interrelacionados, de manera que la conducta de fumar se mantiene por los efectos físicos del consumo de nicotina y por sus efectos psicológicos7.
En la actualidad existe un instrumento para valorar la dependencia física, el test de Fagerström8, ampliamente utilizado. Diversos estudios relacionan el grado de dependencia evaluado con este test con el éxito en la deshabituación tabáquica y con el tipo de tratamiento farmacológico más adecuado9-12. Sin embargo, a pesar de que algunos autores han explorado la dependencia psicológica en el tabaquismo13,14, ésta no tiene una valoración tan bien establecida y su relación con el resultado de los tratamientos de deshabituación tabáquica, así como su influencia en la elección del tratamiento, están todavía por determinar. En diversos manuales se incluye el test de Glover-Nilsson para valorar la dependencia conductual6,15 como parte de la evaluación del paciente fumador, pero no existen en nuestro medio estudios que hayan valorado su utilidad clínica.
El objetivo de este estudio es evaluar la dependencia psicológica mediante el test de Glover-Nilsson en fumadores tratados en una unidad especializada de tabaquismo y establecer su relación con el éxito al finalizar el tratamiento.
Material y métodos
Se ha realizado un estudio analítico longitudinal en el que la población de estudio han sido fumadores que iniciaban tratamiento de deshabituación en una unidad especializada de tabaquismo. En dicha unidad se cita a los pacientes en consulta individual para realizar una historia clínica específica de tabaquismo, tras la cual se pactan el tratamiento farmacológico y el inicio de programa psicológico estructurado, que consta de 9 sesiones grupales, distribuidas a lo largo de 3 meses, en las que se realiza terapia cognitivoconductual.
Los criterios de inclusión fueron: ser fumador, solicitud personal de tratamiento y aceptación por escrito de éste. Se establecieron los siguientes criterios de exclusión: presencia de enfermedades psiquiátricas graves, otra drogodependencia activa y/o gestación. El perfil de la población que solicita tratamiento se ha descrito en estudios previos16.
Las variables de estudio fueron: edad, sexo, dependencia a la nicotina mediante el test de Fagerström8, consumo de psicofármacos, intentos previos de deshabituación y dependencia psicológica evaluada mediante el test de Glover-Nilsson. El éxito al finalizar el tratamiento se definió como abstinencia autodeclarada validada mediante cooximetría (monóxido de carbono espirado ≤ 10 ppm); la determinación de monóxido de carbono se realizó con un cooxímetro modelo Mini Smokerlyzer (Bedfont Scientific Ltd.)17.
Durante la primera sesión de grupo, previa al día que dejan de fumar, los pacientes cumplimentaron el test de dependencia conductual de Glover-Nilsson (Glover-Nilsson Smoking Behavioral Questionnaire, G-NSBQ)18. Ante las dudas generadas por la variabilidad que existe en la aplicación del cuestionario de Glover-Nilsson en distintos manuales sobre tabaquismo, y dada la escasa bibliografía al respecto6,15,17, se realizó una comunicación directa con los autores de dicho test. Mediante correo electrónico se estableció contacto con el Dr. Glover, profesor de la Universidad West Virginia19, quien recomienda utilizar la última versión del cuestionario en vez de la versión anterior, más larga (18 ítems). La versión más reciente del cuestionario consta de 11 ítems (anexo I) y clasifica la dependencia psicológica, según la puntuación obtenida, en leve (< 12), moderada (12-22), fuerte (23-33) y muy fuerte (> 33).
Análisis estadístico
Todas las variables se analizaron mediante el programa estadístico SPSS 11.5 bajo Windows® e inicialmente se realizó un estudio descriptivo de todas ellas. Los resultados se expresan como medias ± desviación estándar para las variables cuantitativas y como proporciones y frecuencias absolutas para las cualitativas. Para estudiar la relación de todas las variables con la puntuación del test de Glover-Nilsson se utilizaron las pruebas de la t de Student y diagramas de dispersión. Finalmente, para analizar la relación del test de Fagerström y la edad frente a las 4 categorías del test de Glover-Nilsson se realizaron análisis de la varianza y se utilizaron para las comparaciones múltiples post hoc las pruebas DMS y T2 de Tamhane. Para todos los contrastes se consideró una significación estadística si p ≤ 0,05.
Resultados
La muestra está formada por 167 fumadores --89 varones (53,3%) y 78 mujeres (46,7%)-- con una edad media de 43,5 ± 9,9 años; la dependencia a la nicotina medida con el test de Fagerström fue de 6,5 ± 2,2 puntos y la media en el test de Glover-Nilsson de 23,3 ± 6,6 puntos. El 65,9% de la población estudiada (n = 110) había realizado intentos previos para dejar de fumar y el 34,1% no (n = 57). El éxito, evaluado mediante autodeclaración y cooximetría ≤ 10 ppm al finalizar el tratamiento (3 meses), fue del 55,1% (n = 92).
Al analizar estas variables según el sexo, encontramos diferencias estadísticamente significativas en la edad, que era menor en el grupo de las mujeres, y en la existencia de intentos previos, con un porcentaje superior en el grupo de los varones (el 73% de éstos frente al 57,7% de las mujeres; p = 0,04). Sin embargo, no hubo diferencias entre varones y mujeres en el test de Fagerström ni en el test de Glover-Nilsson (tabla I), y tampoco en el porcentaje de éxito a los 3 meses, tal como puede verse en la tabla II.
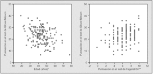
Con posterioridad se estudió la relación entre la dependencia psicológica, evaluada mediante el test de Glover-Nilsson, y el resto de las variables. En la tabla III se observa que no hubo diferencias significativas con las variables sexo, intentos previos, consumo de psicofármacos y éxito a los 3 meses. En cuanto a la edad y la puntuación en el test de Fagerström, los diagramas de dispersión (fig. 1) muestran una tendencia decreciente y creciente (con coeficientes de correlación de 0,328 y 0,342, respectivamente), sin ser posible, por tanto, el ajuste de una función matemática adecuada. Por ello se realizó el análisis y se consideró la variable puntuación en el test de Glover-Nilsson en sus 4 categorías (leve, moderada, fuerte y muy fuerte), cuya distribución en la población estudiada se muestra en la figura 2. En la tabla IV se muestra la distribución de los individuos estudiados según estas 4 categorías con la media de edad y puntuación en el test de Fagerström de cada grupo. Tras aplicar un análisis de la varianza (ANOVA) se observaron diferencias estadísticamente muy significativas, con unos valores de p < 0,0001. La aplicación de contrastes por pares entre las medias de las diferentes categorías del test de Glover-Nilsson indicó que existían diferencias en todas las categorías para la variable edad y solamente en las categorías centrales (moderada y fuerte) para la puntuación del test de Fagerström (fig. 3). A partir de los resultados anteriores (tabla IV) quedó de manifiesto que los individuos más jóvenes obtenían puntuaciones mayores tanto en el test de Glover-Nilsson como en el de Fagerström. Además, se observó que las puntuaciones en ambos tests disminuían con la edad, aunque el descenso fue menos acusado en el test de Fagerström.
Fig. 1. Gráficos de dispersión de las variables puntuación del test de Glover-Nilsson frente a edad y puntuación en el test de Fagerström. *Coeficiente de correlación: 0,328; **coeficiente de correlación: 0,342.
Fig. 2. Distribución porcentual del test Glover-Nilsson en las 4 categorías.
Fig. 3. Gráficos de las medias de edad y puntuación en el test de Fagerström en cada una de las 4 categorías del test de Glover-Nilsson.
Dado que la variable que mostró una relación más evidente con el test de Glover-Nilsson fue la variable edad, se planteó la necesidad de estudiar su relación con el éxito a los 3 meses. Para realizar este análisis, y teniendo en cuenta la simetría de la variable edad (media: 43; mediana: 43), consideramos 2 únicos grupos: edad ≤ 43 años y > 43 años. En ambos grupos se analizó la relación con el éxito al finalizar el tratamiento y con la puntuación en el test de Glover-Nilsson. Se observó que los individuos más jóvenes tenían una puntuación más alta en el test de Glover-Nilsson (p = 0,008) y una tasa de éxito inferior (p = 0,02) (tabla V).
Discusión
Nuestros resultados muestran una relación entre la variable edad y la puntuación del test de Glover-Nilsson, que se pone de manifiesto al realizar el análisis desde diferentes perspectivas. Cuando se estudia la población por grupos de edad (mayores o menores de 43 años), se observa cómo los más jóvenes presentan una mayor puntuación en el test de Glover-Nilsson y una menor tasa de éxito al finalizar el tratamiento (tabla V). También al clasificar a los sujetos según las categorías del mismo test (leve, moderada, fuerte, muy fuerte) se observa la misma relación con la edad (tabla IV). En este caso encontramos una relación directa entre el test de Fagerström y el test de Glover-Nilsson, de modo que a mayor puntuación en el primero se observa una mayor puntuación en el segundo. Este hecho induce a pensar que la dependencia física y la dependencia psicológica no son fenómenos independientes, sino que más bien constituyen facetas diferentes de un solo fenómeno que es la dependencia a la nicotina. Por otra parte, la población estudiada presenta un grado moderado de dependencia a la nicotina según el test de Fagerström (6,5) y fuerte según el test de Glover-Nilsson (23,3). Pensamos que ambos resultados no son discordantes y que la diferencia obedece a que ambos instrumentos tienen escalas diferentes; en cualquier caso, refuerza la idea de que ambos instrumentos miden diferentes facetas de la dependencia. Por otro lado, también se ha descrito como una característica de la población de fumadores que solicitan tratamiento un grado de dependencia a la nicotina entre moderado y fuerte20.
La dependencia a la nicotina es un fenómeno complejo en el que intervienen factores farmacológicos y no farmacológicos. Entre los primeros es determinante la capacidad adictiva de la nicotina, sustancia psicoactiva que produce efectos tanto de refuerzo positivo (mejora la concentración y el estado de ánimo) como de refuerzo negativo (supresión de síntomas del síndrome de abstinencia)21-23. Entre los factores no farmacológicos se encuentran las características propias del individuo y el aprendizaje de la conducta mediante procesos de condicionamiento que establecen la relación entre múltiples señales y el consumo de cigarrillos. Actualmente el test más utilizado para evaluar la dependencia es únicamente el de Fagerström, aunque posiblemente para evaluar un fenómeno tan complejo sea necesario incorporar otros instrumentos.
Llama la atención el alto grado de dependencia, con puntuaciones más altas en ambos tests, que presentan los sujetos más jóvenes, lo que podría explicar el menor porcentaje de éxito en este grupo. Este hecho también se puede interpretar como la manifestación de los cambios descritos en el perfil de la población de fumadores, en el sentido de que al reducir la prevalencia de tabaquismo en una población se incrementa el grado de dependencia de los sujetos que continúan fumando20.
En cuanto al sexo encontramos que existen diferencias en la edad y en los intentos previos con una relación directa; es decir, a mayor edad, mayor número de intentos para dejar de fumar. El abandono del tabaco no es un proceso dicotómico, sino que es un proceso de cambio por el que va pasando el fumador durante varios años antes de hacer el intento definitivo24,25, lo que significa que un individuo que decide dejar de fumar y recae volverá a realizar un nuevo intento con el paso del tiempo. Diversos autores han observado que, entre los fumadores que solicitan tratamiento, las mujeres tienen menor edad que los varones26,27, al igual que ocurre en nuestro estudio. Ello indica que las mujeres toman la decisión de dejar de fumar a edades más tempranas que los varones e inician el proceso de cambio antes, aunque este aspecto se debería confirmar con nuevos estudios que incluyan la perspectiva de sexo.
En cuanto a otras diferencias de sexo, algunos autores sugieren un mayor refuerzo conductual en las mujeres al encontrar que presentan una menor puntuación en el test de Fagerström y puntuaciones más altas en el de Glover-Nilsson27. Por otro lado, se han descrito peores tasas de éxito al dejar de fumar en las mujeres27, fenómeno que podría estar relacionado con las diferencias descritas en la dependencia a la nicotina entre varones y mujeres. Sin embargo, en nuestro estudio no hemos encontrado diferencias de sexo en los test que miden la dependencia a la nicotina.
Si se tiene en cuenta la relación que encontramos entre la dependencia y la edad, y puesto que el grupo de mujeres tiene una edad menor que el de los varones, se puede interpretar que la diferencia quizá esté más influida por la edad que por el sexo; es decir, lo que condiciona no es el hecho de ser varón o mujer, sino ser más o menos joven. En este sentido, diversos estudios encuentran que la edad es un factor pronóstico para dejar de fumar28,29, lo que reforzaría la idea de que las diferencias de sexo en la deshabituación están condicionadas sobre todo por la edad más que por el sexo.
Nuestros resultados ponen de manifiesto que son necesarios más estudios en general sobre la evaluación del fumador y en particular con el test de Glover-Nilsson, del que proponemos utilizar la última versión siguiendo la recomendación del propio autor. Al igual que en otras conductas adictivas, en el tabaquismo la evaluación es un proceso indispensable antes, durante y al final del tratamiento, así como en el seguimiento posterior30. En este sentido, valorar todos los aspectos relacionados con la dependencia es importante a la hora de iniciar la deshabituación tabáquica, ya que puede ayudar a seleccionar el tratamiento farmacológico y psicológico más adecuado para optimizar los resultados.
















