las contracciones excéntricas (CC.EE.) se caracterizan por producirse previa elongación muscular, lo que facilita la lesión. La mayoría de los estudios precedentes se han desarrollado en músculos de las extremidades, por lo que se desconoce la relevancia potencial de las CC.EE. en los músculos respiratorios. El objetivo del presente trabajo ha sido evaluar los efectos funcionales de series repetidas de CC.EE. sobre el diafragma.
Métodose provocó la elongación del diafragma mediante presión externa abdominal en 6 perros y se indujeron CC.EE. mediante series consecutivas de pulsos supramáximos bilaterales. El efecto se valoró mediante la posterior respuesta del músculo ante estimulación frénica bilateral tanto de pulso único como tetánica, en términos de presión y acortamiento (sonomicrometría) de los hemidiafragmas derecho e izquierdo. En 4 casos se realizó estudio estructural.
Resultadosse consiguió inducir CC.EE. en todos los casos. Las presiones diafragmáticas inducidas por estimulación disminuyeron inmediatamente después de la actividad excéntrica (pulso único: 53%; tetánica: 67%; p<0,001 en ambas, tras las primeras 10 CC.EE.), al igual que la propia contractilidad diafragmática (evidenciable con la estimulación tetánica; hemidiafragma derecho un HD 29%, p<0,05, e hemidiafragma izquierdo, un 14%, p<0,001). La disfunción fue persistente (duró al menos 12h) y se asoció a la presencia de daño sarcomérico y sarcolémico.
Conclusióncon el modelo propuesto, que permite estudiar el efecto de las CC.EE. en el diafragma, se demuestra una pérdida funcional mantenida durante horas, que en parte parece debida a una lesión estructural. Clínicamente se debería ser cauto con las maniobras fisiológicas o terapéuticas que impliquen la elongación basal del diafragma.
Eccentric contractions are those that occur after a muscle has been stretched, and they can predispose the muscle to damage. Most previous studies have been performed on limb muscles, and the potential consequences of eccentric contractions on the respiratory muscles are therefore unknown. The aim of this study was to evaluate the effects of repeated eccentric contractions on diaphragmatic function.
MethodsIn 6 dogs, the diaphragm was stretched by applying pressure on the abdominal wall, and consecutive series of eccentric contractions were induced by bilateral supramaximal stimulation. The effect of these contractions on the diaphragm was then evaluated by applying bilateral twitch and tetanic stimulation of the phrenic nerves and measuring the changes in abdominal pressure and the shortening of the right and left hemidiaphragms (by sonomicrometry). Structural study of the muscle was also performed in 4 animals.
ResultsEccentric contractions were successfully achieved in all cases. Stimulation-induced diaphragmatic pressures became lower immediately after these contractions: twitch pressure fell by 53% and tetanic pressure by 67% after the first 10 eccentric contractions (P<.001 in both cases). Tetanic stimulation also demonstrated an early deterioration in contractility, which fell by 29% in the right hemidiaphragm (P<.05) and by 14% in the left hemidiaphragm (P<.001). Functional impairment was persistent, lasting at least 12 hours, and was associated with sarcomeric and sarcolemmal damage.
ConclusionsThis experimental model, which enabled the effects of eccentric contractions to be studied in the diaphragm, revealed a deterioration of muscle function that persisted for hours and that appeared to be partly due to structural damage. In the clinical setting, physiologic or therapeutic maneuvers that increase the resting length of the diaphragm should be used with caution.
La contracción de los músculos inspiratorios promueve cambios en el tamaño y la configuración del tórax, con aumento de la negatividad en la presión alveolar y entrada de aire en los pulmones. El principal músculo respiratorio es el diafragma, que actúa a modo de émbolo entre las cavidades torácica y abdominal. Su actividad puede verse modificada por diversos factores, entre los que destacan su integridad tanto estructural como metabólica y la longitud inicial en que se produce la actividad contráctil1–3. Si la contracción se produce con el músculo previamente estirado, las contracciones se denominan excéntricas (CC.EE.)4. Estas últimas pueden condicionar con relativa facilidad una lesión muscular5,6, con importantes consecuencias funcionales7. Por otra parte, las CC.EE. parecen constituir un excelente método para inducir cambios adaptativos estructurales en el músculo (remodelación)8, por lo que algunos autores recomiendan su incorporación a los programas de rehabilitación9. Se han estudiado con detalle las características y consecuencias de la contracción excéntrica en los músculos de las extremidades7. Sin embargo, se desconocen sus eventuales consecuencias sobre el diafragma y otros músculos respiratorios, probablemente por la dificultad que entraña establecer un modelo adecuado in vivo. No obstante, el diafragma se hallaría inicialmente elongado en diversas situaciones, por ejemplo, como consecuencia de la colocación de una prótesis de pared abdominal o de elementos ortopédicos que aumenten la presión intraabdominal10, así como en abdómenes con ascitis o neumoperitoneo11, durante determinadas maniobras fisiológicas, ejercicios de rehabilitación y entrenamiento12, o en algunas de las maniobras que se utilizan para determinar las presiones respiratorias máximas13. El objetivo de este trabajo ha sido evaluar un modelo animal de inducción de CC.EE. del diafragma, además de determinar las consecuencias funcionales de dichas contracciones.
MétodoSe utilizaron como base elementos de un modelo experimental ya validado14. Se estudiaron 6 perros de raza no pura y peso entre 20 y 25kg. Se les anestesió con pentobarbital sódico (25mg/kg intravenosos) y posterior inhalación continua de halotano, después de haberlos intubado y ventilado (Mark-8 Respirator, Bird Corporation, Palm Springs, CA, EE.UU.). A continuación se les colocaron sendas sondas-balón en el esófago y estómago, y se les sometió a laparotomía media, con colocación de somomicrómetros en la cara abdominal de ambos hemidiafragmas. La incisión se cerró por planos y se dejó que los animales se recuperaran durante una semana. En el siguiente día de estudio se procedió de nuevo a la intubación orotraqueal del animal, inducción de las CC.EE. del diafragma (véase más adelante) y valoración funcional de su efecto. Finalmente se procedió a la eutanasia con una dosis elevada de pentobarbital por vía intravenosa. En 4 animales se valoró el efecto estructural de las CC.EE. Todos los procedimientos fueron aprobados por el Comité Ético de Investigación Animal del Hôpital Notre-Dame de Montreal.
Inducción de las contracciones excéntricasLos cánidos se colocaron en decúbito supino y tras la retirada de la anestesia inhalada respiraron espontáneamente a través del tubo endotraqueal. La dosis de mantenimiento de pentobarbital permitió mantenerlos con la musculatura fisiológicamente relajada y sin reflejo corneal14. Se les fajó el abdomen de forma estrecha con una venda de yeso, a la que se practicó un orificio anterior que permitía aumentar la presión abdominal con un émbolo. Una vez comprobada la elongación del diafragma por sonomicrometría, se indujo la contracción excéntrica por estimulación eléctrica. Esta última se realizó mediante electrodos bipolares que emitían pulsos únicos bilaterales de intensidad supramáxima (véase más adelante). Se realizaron 4 series de 10 (5+5); 8; 5, y 5 CC.EE., respectivamente, separadas entre sí por al menos 10min.
Evaluación del efecto de las contracciones excéntricasLa evaluación posterior a cada serie se realizó mediante estimulación eléctrica bilateral del nervio frénico con 2 modalidades de inducción de respuesta supramáxima: estímulo de pulso único (twitch) y estimulación de alta frecuencia o tetánica.
Estimulación twitch. Se realizó mediante pulsos únicos bilaterales de intensidad supramáxima (aproximadamente 8V, 50Hz y 0,25ms)14. Éstos se consiguieron aumentando progresivamente el estímulo en cada nervio desde 1V hasta alcanzar una respuesta máxima, y añadiendo entonces un 30% adicional a la intensidad. La técnica se utilizó tanto en la inducción de las CC.EE. como en la posterior evaluación funcional de su efecto. Las situaciones evaluadas mediante la estimulación twitch fueron: a) inicial sin prótesis abdominal; b) basal, pero ya con la prótesis colocada; c) inmediatamente después de cada una de las series de CC.EE. (efecto a corto plazo, con prótesis abdominal), y d) tras la finalización de todas las series y la retirada de la prótesis abdominal, a las 1; 2; 3; 7; 10; 11, y 12h (efecto a medio plazo). Se efectuaron al menos 2 maniobras reproducibles para cada situación.
Estimulación tetánica. Consiste en la estimulación a frecuencias muy altas, que consiguen la fusión de las señales individuales. Se utilizaron trenes de 50 pulsos (lo que da como resultado un pulso cuadrangular), a una frecuencia de 100Hz y con una duración de 0,5s. Como en el caso de la estimulación twitch, se efectuaron al menos 2 maniobras reproducibles en cada caso. Las situaciones evaluadas mediante la estimulación tetánica tenían como objeto una valoración más detallada del efecto a corto plazo, lo que implicó su realización en todos los casos con la prótesis abdominal colocada. La respuesta se evaluó: a) antes de cada una de las series de CC.EE., y b) tras cada una de estas series (la primera se evaluó además en 2 ocasiones, tras la mitad de los estímulos y al finalizar las 10 contracciones). Se efectuaron al menos 2 maniobras reproducibles para cada situación.
Respuesta muscular. Se evaluó a partir de las presiones generadas y del acortamiento contráctil. La presión abdominal, representada por la presión gástrica, se obtuvo a partir de una sonda-balón situada en la cavidad homónima. También se recogió la presión esofágica mediante una sonda adicional situada en dicha cavidad, aunque, dada la frecuente inducción de artefactos por la estimulación, se ha descartado su análisis en el presente trabajo. Las sondas se conectaron a transductores de presión (Validyne MP45-18, Northridge, CA, EE.UU.). Los cambios en la longitud del músculo (tanto su elongación como su acortamiento contráctil) se evaluaron mediante sendos pares de cristales piezoeléctricos situados en cada hemidiafragma costal. Los cristales se conectaron a un aparato estándar de sonomicrometría (Triton Technology INC, San Diego, CA, EE.UU.). Las variables fisiológicas se recogieron en un polígrafo analógico de 8 canales (HP 7758 B, Hewlett-Packard, Palo Alto, CA, EE.UU.). Los resultados se expresaron como longitud entre los sonomicrómetros en situación de reposo —a capacidad residual funcional (FRC) basal— y porcentajes de esa distancia en todas las demás situaciones.
Daño muscular. En un subgrupo de 4 animales se analizaron las muestras de diafragma obtenidas antes del sacrificio. El daño sarcomérico se analizó por microscopia electrónica siguiendo el procedimiento publicado por nuestro grupo2,15. La discontinuidad del sarcolema se valoró tanto mediante la tinción clásica de hematoxilina-eosina como a través de la infusión de un colorante (orange-dye) antes del sacrificio, siguiendo también la metodología ya publicada por miembros del grupo15. Brevemente, la presencia del colorante en el interior de las fibras o su coloración intensa con hematoxilina indica que hay defectos en su membrana o sarcolema.
Análisis estadísticoTodas las mediciones se expresan como media±desviación estándar. La comparación entre las diferentes situaciones se efectuó mediante un análisis de la variancia para medidas repetidas. El nivel de significación se estableció en 0,05. Las alteraciones estructurales sólo se describen cualitativamente dado el reducido número de músculos analizados.
ResultadosMecánica de las contracciones excéntricasEn todos los animales se logró inducir CC.EE. con el procedimiento empleado. En la figura 1 se muestra la presión intraabdominal generada con objeto de conseguir las elongaciones necesarias para la inducción de CC.EE. Estas presiones, aunque relativamente elevadas, fueron muy similares a las generadas por la estimulación tetánica del diafragma. En la misma figura pueden observarse las características de las contracciones espontáneas del músculo, así como las inducidas por las estimulaciones twitch y tetánica en situación basal (contracciones concéntricas) y sin prótesis abdominal.
Relaciones entre la presión intraabdominal, representada por la presión gástrica (Pga), y la longitud del hemidiafragma derecho, expresada como porcentaje de la longitud entre ambos sonomicrómetros a capacidad residual funcional basal (iFRC%). Sobre la línea de iFRC% 100 (círculos a la derecha), se observan los valores medios y las desviaciones estándar de las presiones intraabdominales generadas experimentalmente, así como la elongación con ellas conseguida para poder inducir posteriormente las contracciones excéntricas (CC.EE.). Puede verse la situación en cada una de las 4 series efectuadas (diferentes círculos). Bajo la línea antes mencionada se observan los efectos de la contracción espontánea del músculo, así como los inducidos por las estimulaciones twitch y tetánica (diferentes cuadrados).
Efecto de la colocación de la prótesis abdominal, necesaria para la realización de las contracciones excéntricas (fig. 2a). La simple colocación de la prótesis dio lugar a un discreto alargamiento del diafragma (elongación a FRC: 107±4%), lo que condicionó una mayor presión abdominal en respuesta a la estimulación (fig. 2a), a pesar del moderado descenso observado en la contracción del hemidiafragma izquierdo.
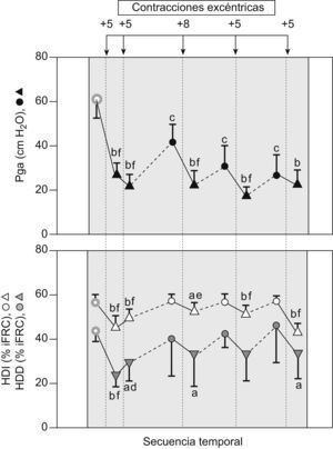
Respuesta contráctil del diafragma, expresada en presión intraabdominal (presión gástrica o Pga), y acortamiento de los hemidiafragmas derecho (HDD) e izquierdo (HDI) ante la estimulación supramáxima de pulso único. El período con prótesis abdominal colocada aparece levemente sombreado. (a) Efecto de las contracciones excéntricas a corto plazo tras cada una de las series (triángulos), y (b) efectos a medio plazo, tras la finalización de las series y la retirada de la prótesis.
iFRC: a capacidad residual funcional basal.
ap<0,01 y bp<0,001 se refieren a las diferencias entre las 2 situaciones basales, sin (círculos sencillos) y con (círculos concéntricos) la prótesis abdominal colocada.
cp<0,05 y dp<0,001 hacen referencia a las diferencias entre la respuesta muscular ante la estimulación basal con prótesis y las respuestas inmediatamente posteriores a cada serie de contracciones excéntricas (triángulos).
ep<0,05 y fp<0,01 indican las diferencias entre la situación posterior a la contracción excéntrica y la inmediatamente precedente.
gp<0,05, hp<0,01 y ip<0,001 hacen referencia a las diferencias entre la respuesta muscular ante la estimulación basal y sin prótesis, y las respuestas obtenidas entre 1 y 12h después de finalizar las series de contracciones excéntricas y retirar la prótesis.
Efectos de las contracciones excéntricas sobre la respuesta supramáxima ante el pulso único (twitch)
Efecto a corto plazo (fig. 2a). Esta evaluación se realizó siempre con la prótesis abdominal colocada, ya que el tiempo necesario para su retirada hubiese supuesto un retraso en la evaluación de la respuesta precoz. Las sucesivas series de CC.EE. motivaron un descenso progresivo de la presión generada por el diafragma ante la estimulación supramáxima (un 53% tras la primera serie y hasta un 73% tras la última). Los efectos sobre el acortamiento contráctil fueron de escasa cuantía y sólo alcanzó la significación estadística un ligero deterioro transitorio del acortamiento en el diafragma izquierdo (15%) tras un total de 23 CC.EE.
Efecto a largo plazo (fig. 2b). Esta evaluación se realizó con el diafragma ya libre (elongación a FRC: 100%), tras la retirada de la prótesis abdominal utilizada para la realización de las CC.EE. La presión generada por el diafragma ante el pulso único continuaba disminuida hasta 12h después de la última serie de CC.EE. (un 30%). A su vez, las contracciones eran menos vigorosas, con una caída algo más temprana en el diafragma izquierdo, pero más profunda en el derecho. Esta alteración todavía podía observarse a las 12h de finalizar las CC.EE. (un 36% en el hemidiafragma derecho y un 24% en el izquierdo).
Efectos de las contracciones excéntricas sobre la respuesta ante la estimulación tetánicaEsta modalidad de estimulación dio lugar siempre a presiones muy superiores a las obtenidas tanto en respiración espontánea como con estimulación twitch. Como se ha mencionado, la estimulación tetánica se utilizó sólo en el análisis detallado de los efectos a corto plazo. Por lo tanto, los animales se hallaban en todo momento con la prótesis abdominal colocada (diafragma ligeramente alargado y cercano a su longitud óptima). Las diversas series de CC.EE. indujeron siempre descensos inmediatos de la presión generada por el músculo (entre un 67% tras la primera serie y un 16% en la última) y de la intensidad de la contracción de cada hemidiafragma (derecho, entre un 16 y un 36%; izquierdo, entre un 11 y un 23%) (fig. 3). Es interesante señalar que las presiones se recuperaban parcialmente antes de la siguiente serie, unos 10min más tarde, aunque continuaban estando siempre significativa y progresivamente por debajo del valor inicial (hasta un 61% antes de la última serie). Sin embargo, esto no ocurría con la intensidad del acortamiento contráctil, que recuperaba los valores iniciales antes de cada una de las series de CC.EE.
Respuesta contráctil del diafragma ante la estimulación tetánica. Nuevamente, el período con prótesis abdominal colocada aparece levemente sombreado. Los círculos concéntricos representan la situación basal con prótesis colocada; los círculos sencillos, la situación previa a una nueva serie de contracciones excéntricas, tras unos minutos de reposo, y los triángulos, la respuesta tras cada serie de estas contracciones.
HDD: hemidiafragma derecho; HDI: hemidiafragma izquierdo; iFRC: a capacidad residual funcional; Pga: presión gástrica.
ap<0,05 y bp<0,001 hacen referencia a las diferencias entre la respuesta muscular ante la estimulación basal y las respuestas inmediatamente posteriores a las diferentes series de contracciones excéntricas.
cp<0,001 para las diferencias entre la situación inicial y la existente antes de cada una de las series de contracciones excéntricas.
dp<0,05, ep<0,01 y fp<0,001 hacen referencia a las diferencias entre la respuesta a la estimulación antes e inmediatamente después de cada serie de contracciones excéntricas.
Los músculos analizados mostraron de forma sistemática roturas en la continuidad de las sarcómeras, así como numerosas fibras con el sarcolema dañado (figs. 4 y 5).
Fotografía obtenida por microscopia electrónica (×200) de un corte semifino, incluido en resina y teñido con fenilenodiamina, de la muestra del diafragma de un animal del estudio (a) y de un animal sano (b). En la primera se aprecia la típica dislaceración de la estructura regular y normal del músculo, que es característica de la rotura sarcomérica.
Secciones transversales consecutivas de microscopía óptica correspondientes a un animal del estudio: tinciones de adenosintrifosfatasa (ATPasa) a pH de 4,2 (a) y de 10,0 (b), e imágenes por fluorescencia de la muestra teñida con el colorante orange-dye (c) y por tinción simple de hematoxilina-eosina (d). Las fibras con el sarcolema dañado aparecen de color amarillo y marrón oscuro, respectivamente.
Este trabajo indica que las CC.EE. intensas tienen un efecto perjudicial y relativamente persistente sobre la función del diafragma, lo que puede estar relacionado con fenómenos de índole tanto estructural como metabólica.
Las contracciones musculares isotónicas (con acortamiento) pueden ser de 2 tipos, concéntricas o excéntricas, según el músculo se halle inicialmente en su longitud de reposo o estirado. Las CC.EE. de los músculos de las extremidades pueden facilitar una lesión muscular5,6,16 y tener efectos nocivos sobre la función contráctil7. De forma similar, el presente trabajo demuestra que CC.EE. repetidas del diafragma provocan una disminución precoz de la presión generada por el músculo ante la estimulación. Si las series de CC.EE. se suceden, parece haber cierto efecto aditivo, al menos hasta un determinado número de contracciones, en que la presión ya no desciende más. En la fase inicial, este descenso en la eficacia de la contracción no suele acompañarse de un acortamiento menor, al menos tras la estimulación de pulso único, lo que hace pensar en una pérdida de continuidad en el aparato contráctil. En la misma línea, el mantenimiento de la disfunción tras 12h del estímulo refuerza la hipótesis de la presencia de lesión estructural. Ésta podría deberse a diferentes mecanismos, tanto mecánicos (con contraposición de vectores de fuerza y lesión directa de las sarcómeras)17 como biológicos (con inducción de estrés oxidativo, respuesta inflamatoria local y depleción de glucógeno y fosfatos de alta energía)15,18–21. En el presente trabajo se ha observado de forma incidental tanto rotura de sarcómeras como disrupción del sarcolema, lo que apunta a la implicación de algunos de los mecanismos citados en la disfunción del diafragma. Por otra parte, la estimulación tetánica también nos ha permitido observar que el efecto nocivo inmediato a las CC.EE. desaparece parcialmente a los pocos minutos. Esto apunta a un mecanismo que, al menos en parte, no dependa de la lesión estructural. Algunos autores creen que la afectación funcional precoz tras las CC.EE. puede deberse también a la persistencia de la elongación o a dificultades en la realineación de las sarcómeras22. Otros, en cambio, sostienen que la disfunción que sigue a las CC.EE. tiene en realidad 2 fases, una precoz, derivada de alteraciones metabólicas, y otra más tardía, ligada sobre todo al problema estructural23, lo que se correspondería con los resultados del presente trabajo. Más tarde podría persistir cierta disfunción, sobre todo si la regeneración muscular es incompleta, lo que puede ocurrir si la lesión inicial es extensa o repetida, o si hay defectos en los mecanismos de reparación. Esto último parece suceder en los músculos de las extremidades de los pacientes con enfermedad pulmonar obstructiva crónica grave24.
Sin embargo, las CC.EE. no son necesariamente negativas para un músculo, ya que parecen promover cambios adaptativos con mayor facilidad que las de tipo concéntrico, al inducir más rápidamente la expresión de factores de transcripción, como c-Jun y c-Fos25, así como receptores y ligandos de citocinas26, lo que apunta a una activación precoz de los programas de reparación. A largo plazo, las CC.EE. parecen generar fibras mayores y con más sarcómeras8,27,28, lo que mejoraría las relaciones de longitud-fuerza29, y consiguen una mayor resistencia del músculo ante futuras lesiones30.
En cuanto a las potenciales limitaciones del estudio, cabe mencionar que la estimulación eléctrica del diafragma puede inducir contracciones esofágicas, por lo que se ha escogido la variación de presión abdominal para valorar la respuesta muscular, descartándose las presiones esofágica y transdiafragmática. Por otra parte, la aparición de un fenómeno de potenciación de la respuesta es posible, aunque improbable. Se ha minimizado razonablemente con el diseño, dados el número de estímulos en cada caso y los intervalos que se mantuvieron entre las series, y parece descartarlo la propia respuesta descendente del músculo. Finalmente, no se han utilizado aquí grupos control sin prótesis abdominal o con contracción concéntrica del diafragma. En el primer caso, nuestro grupo ha analizado recientemente el efecto de la prótesis per se y ha objetivado una mejoría en la fuerza contráctil por cambios en la longitud de reposo muscular31. En el segundo, estudios previos han analizado también los efectos de la contracción intensa de tipo concéntrico15,32, cuya repercusión funcional parece mucho menor.
La utilización de prótesis ortopédicas abdominales es relativamente frecuente en medicina. Por otra parte, se ha planteado la posibilidad de inducir una longitud más favorable en el diafragma para conseguir una mayor capacidad contráctil, ya sea con el fin de determinar las presiones máximas13,33 o por sus eventuales beneficios clínicos. En este último caso, una mayor rigidez de la pared abdominal podría incluso contrarrestar parcialmente los efectos nocivos de la hiperinsuflación pulmonar, al “reestirar” el diafragma. Sin embargo, debe tenerse en cuenta que esa elongación podría también ser la causa de que el músculo se contrajera en condiciones excéntricas, con efectos perjudiciales. Nuestro trabajo demuestra que las CC.EE. provocan un deterioro de la capacidad contráctil del diafragma, que persiste incluso 12h después, lo que induce a pensar en la presencia de lesión estructural, aunque sin descartar la contribución de otros factores. Sin embargo, hay al menos 2 razones para pensar que las CC.EE. que se producen en condiciones fisiológicas no tienen consecuencias tan negativas. En primer lugar, las series de contracciones generadas en el presente estudio constituyen una situación extrema por su intensidad y son difíciles de alcanzar en la clínica. En segundo lugar, dado que las CC.EE. favorecen también el cambio de fenotipo muscular, podrían tener incluso efectos beneficiosos a largo plazo, al contribuir a la remodelación del diafragma. De hecho, sabemos que este músculo se lesiona con facilidad en los pacientes con enfermedad pulmonar obstructiva crónica2, pero también muestra un fenotipo favorablemente modificado3.
En conclusión, las CC.EE. pueden provocar alteraciones funcionales en el diafragma. Es probable que las más tempranas sean debidas parcialmente a disfunciones metabólicas, mientras que las más tardías sean imputables a lesión estructural.
FinanciacionEstudio financiado con una beca del Medical Research Council de Canadá. Estancias de J. Gea y J.B. Gáldiz financiadas con sendas ayudas de Bolsas de Ampliación de Estudios del Fondo de Investigaciones Sanitarias (FIS) del Ministerio de Sanidad de España.












