Diagnostic tools that stratify lung cancer (LC) risk can help prioritize care for patients at the highest risk and optimize time and procedures to achieve the final diagnosis. We have previously demonstrated that six tumour biomarkers (TBs) – CEA, CYFRA 21.1, CA 15-3, SCC Ag, ProGRP, and NSE – can help assess LC risk. We developed expert software that combines these TBs with clinical and imaging data to estimate LC risk.
MethodsThe diagnostic accuracy of this expert software was evaluated in a multicentre study. We prospectively recruited 2005 individuals referred to 12 reference hospitals in Spain and Portugal for suspicion of LC. The six TBs were determined and the expert software was applied to all patients and correlated with the final diagnosis.
ResultsA final diagnosis of LC was made in 1392 patients. The expert software yielded 87.7% sensitivity, 75.5% specificity, 89.0% positive predictive value and 73.0% negative predictive value. Sensitivity increased with tumour size and extension. The software also provides histological information, correctly predicting cancer in 98.4% of small-cell LC and 93.2% of non-small-cell LC, which correlates with the histological diagnosis of 90% and 91.2%, respectively.
ConclusionsThe expert software developed provides excellent diagnostic accuracy for diagnosing LC. Accordingly, this software can help stratify the risk of LC and prioritize the evaluation of patients at higher risk, optimizing procedures based on risk and knowledge of the most likely histological type, and providing a valuable tool for risk stratification and clinical decision support, particularly in Rapid Diagnostic Units.
Lung cancer (LC) is the most prevalent and deadliest form of human cancer worldwide, accounting for 1.8 million deaths annually and 17.8% of all cancer-related fatalities [1]. While in some cases the diagnosis LC is straightforward, it remains challenging in others, particularly when imaging studies reveal indeterminate nodules [2,3]. Several studies have suggested that low-dose computed tomography (LDCT) screening can reduce mortality by LC; however, the results remain controversial [3–8]. Additionally, LDCT is a high-demand resource, leading to delays in early access, and the associated costs, along with the high incidence of indeterminate nodules, make it crucial to prioritize the use of this study in high-risk patients [4,5,9]. Furthermore, while advanced imaging such as PET-CT offers high diagnostic value, it is an expensive and often less accessible technique in many hospitals, limiting its use as a first-line triage tool.
Circulating tumour biomarkers (TB) are valuable diagnostic tools, particularly when used in combination to enhance sensitivity and specificity [10–13]. However, the optimal TB combination for maximizing accurate diagnosis of LC remains uncertain [10,12–19]. Previous studies by our group have demonstrated that a combination of six TB [carcinoembryonic antigen (CEA), cytokeratin fragment 21-1 (CYFRA 21-1), cancer antigen 15-3 (CA 15-3), squamous cell carcinoma antigen (SCC-Ag), progastrin-releasing peptide (ProGRP), and neuron-specific enolase (NSE)] correlates with the presence of LC and its major histological subtypes, i.e., non-small-cell LC (NSCLC) – adenocarcinoma (ADC) and squamous cell carcinoma (SCC) – and small-cell LC (SCLC) [11,20]. This combined TB model showed significantly greater diagnostic accuracy than a clinical model based solely on tumour size, age, and smoking status [20]. Although some studies indicate the potential benefit of integrating TB serum concentrations with LDCT for optimizing the diagnosis of LC [21], this approach has yet to be fully established. LDCT is a high-demand resource, leading to delays in early access, and the associated costs, along with the high incidence of indeterminate nodules, make it crucial to prioritize the use of this study in high-risk patients [4,5,9].
It is important to acknowledge that TB markers can yield false positives in certain pathophysiological conditions that require differentiation from LC. Incorporating clinical and laboratory variables that identify these conditions can enhance diagnostic accuracy.
To address this challenge, we developed expert software named CLAUDIA (Cancerous Lung Algorithm Useful for DIAgnosis). Using clinical variables, computed tomography (CT) data, and TB concentrations from 5000 patients, CLAUDIA calculates the risk of lung cancer (LC) and suggests a histological classification.
The study aimed to assess and validate the clinical utility of a TB-based software tool for decision-making in rapid-diagnosis pulmonary units in 12 hospitals in Spain and Portugal.
Material and methodsStudy design and participantsThis prospective, consecutive study included 2101 adults presenting signs of LC across 12 hospitals in Spain and Portugal. Patients with prior LC treatment, active malignancies, or renal failure were excluded, while those with non-cancerous conditions were included. The final study population comprised 2005 individuals. All participants provided informed consent, and data were anonymized (Fig. 1).
This study represents the first large-scale, prospective, multicenter external validation of the CLAUDIA algorithm, developed by our group.
The study was approved by the corresponding Ethics Committees (HCB/2017/1060). The study was not registered, so when it was designed, it was not required to be carried out. LC diagnosis followed international guidelines [2] and was confirmed using CT or positron emission tomography scans, and tissue analysis obtained via bronchoscopy, fine-needle aspiration, endobronchial ultrasound, oesophageal ultrasound, or surgical resection. Histology typing was conducted in all patients.
Histological typing and staging of LCLC subtypes were classified according to the 2015 World Health Organization recommendations [22,23]. Differentiation between SCLC and NSCLC was based on morphological criteria and immunohistochemical markers such as CD56 and synaptophysin [24]. Staging followed international Tumour-Node-Metastasis (TNM) guidelines [25].
TB measurementsPeripheral blood samples were collected without anticoagulants, centrifuged, and stored at 3–5°C until analysis. Serum TB concentrations were measured in each laboratory using electrochemiluminescent assays (Elecsys, ROCHE Diagnostics Switzerland). The previously validated upper reference limits (URLs) were: CEA, 5ng/ml; CYFRA 21-1, 3.3ng/ml; SCC-Ag, 2ng/ml; CA 15-3, 35U/ml; NSE, 25ng/ml; ProGRP, 65pg/ml. TB values exceeding these thresholds were classified as “abnormal.”
Expert softwareThe software is built on algorithms that analyse a comprehensive database of over 5000 patients from previous studies [11,13,15,20]. It evaluates serum TB concentrations while accounting for biological variability and clinical factors such as pleural effusion, renal insufficiency, smoking, cholestasis, and dermatologic conditions. Different TB cut-off values are applied based on clinical conditions; for instance, in smokers, the CEA threshold is adjusted to 10ng/ml instead of 5ng/ml. In patients with renal failure, SCC-Ag is excluded, while in those with hepatopathy, certain TB cut-offs increase by up to 50%.
The software also integrates imaging data, such as nodule size and other characteristics, to enhance diagnostic accuracy. This multi-variable approach improves sensitivity and specificity, significantly reducing false-positive rates.
Based on the input data, the software stratifies patients into risk groups of presenting LC. The categories are as follows: very high risk (with a probability of more than 95%), high risk (with a probability of LC between 75% and 95%), moderate risk (between 65% and 75%) and low risk (less than 65% probability). For patients classified as moderate risk, the software recommends repeating the TB tests after a period of three to four weeks to refine diagnostic accuracy. This dynamic reassessment method has been shown to improve diagnostic specificity [10,20,26].
The current study was conducted as a prospective, multicentre external validation of the CLAUDIA software based on the analysis of data from patients who underwent a tumour marker profile for suspected lung cancer. The cohort included a total of 2005 patients from 12 participating centres (tertiary and regional hospitals) in Spain and Portugal (Supplementary Table S1).
The algorithm is predicated on a rule-based decision model that integrates molecular (biomarker), clinical, and radiological data in order to estimate risk. The methodology described herein facilitates the implementation of the dynamic cut-off thresholds previously delineated for the purpose of personalised risk stratification.
Statistical analysisResults were expressed as case counts, proportions, medians, and interquartile ranges. Sensitivity, specificity, positive predictive value (PPV), and negative predictive value (NPV) were calculated. TB concentrations were compared using parametric (Student's t-test) or non-parametric tests (Wilcoxon, Mann–Whitney, Kruskal–Wallis).
The Net Reclassification Improvement Index (NRI) was used to assess the ability of the software to reclassify LC diagnoses compared to TB analysis alone [27]. NRI quantifies improvements in classification by accounting for true and false positives and negatives.
Net Benefit (NB) analysis [28] was used to compare the diagnostic performance of the combined TB panel against the software. A p-value <0.05 was considered statistically significant. All analyses were performed using SPSS v.25 (IBM Corp.).
To assess robustness and generalizability across the centres (as detailed in Supplementary Table S2), a formal statistical test for heterogeneity in the sensitivity and specificity estimates was performed using the Cochran's Q test and the I2 statistic.
ResultsThe diagnosis of LC was confirmed in 1392 (69.4%) patients, while 613 (30.6%) were found to have benign disease. Among the LC cases, 266 were SCLC (19.1%) and 1126 NSCLC (80.9%); adenocarcinomas were the most frequent subtype (n=635; 56.4%), followed by SCC (n=319; 28.3%) and cancers of indeterminate lineage (n=172; 15.3%) (Fig. 1).
In the suspected LC cases, the main finding leading to the diagnostic workup was the presence of radiographic nodules in 49.8% of cases, which were slightly more frequent in non-cancer than in LC patients (56.9% vs. 46.7%). Dyspnoea, haemoptysis, thoracic pain, and persistent cough were present in around 10%; thoracic pain and persistent cough were more frequent in LC, while haemoptysis was more common in non-cancer cases. Constitutional syndrome components occurred in 5% of LC cases versus 1.5% in non-cancer patients (Table 1).
Main symptoms of patients referred for suspicious signs of lung cancer (LC) and proportion (%) of LC diagnosed according to the symptom.
| Main symptom | Total patients | LC confirmed | ||
|---|---|---|---|---|
| Radiographic nodules | 1000 | 49.8% | 651 | 46.7% |
| Dyspnoea | 219 | 10.9% | 156 | 11.2% |
| Haemoptysis | 205 | 10.2% | 131 | 9.4% |
| Thoracic pain | 200 | 9.9% | 154 | 11% |
| Persistent cough | 197 | 9.8% | 146 | 10.4% |
| Constitutional symptoms | 79 | 3.9% | 70 | 5.0% |
| Persistent fever | 21 | 1.0% | 14 | 1.0% |
| Dysphonia | 17 | 0.8% | 16 | 1.1% |
| Other symptoms | 67 | 3.3% | 54 | 3.8% |
Table 2 compares the clinical and imaging findings and TB concentrations between LC and non-LC patients. Significant differences were observed in gender, smoking habits, cigarette consumption per year, lung nodules (especially those >3cm), and TB concentrations, all of which were more prevalent in LC patients (p<0.01–0.001). Smaller nodules were more commonly found in non-LC patients. Within the LC subgroup analysis, NSCLC patients were generally older and had different TB profiles: CEA, CYFRA 21-1, SCC-Ag, and CA 15-3 levels were higher in NSCLC, whereas NSE and ProGRP were elevated in SCLC patients (p=0.001). All TB values were higher in NSCLC than in non-LC patients, except for SCC-Ag, which had similar values in SCLC and non-LC patients.
Clinical characteristics and tumour biomarker values in all participants (n, percentage or median [interquartile range]).
| No cancer(n=613) | p-Values | Lung cancer(n=1392) | NSCLC(n=1126) | p-Values | SCLC(n=266) | |
|---|---|---|---|---|---|---|
| Females, % | 37.8% | <0.01 | 29.7% | 29.5% | NS | 30.6% |
| Age, yrs. | 64 [56–74] | NS | 66 [60–73] | 67 [60–74] | 0.01 | 65 [59–71] |
| Current smokers, % | 37.7% | <0.001 | 48.9% | 46% | <0.001 | 61.3% |
| Former smokers, % | 29.4% | 34.2% | 35.4% | 28.9% | ||
| Never smoked, % | 33% | 16.9% | 18.6% | 9.8% | ||
| Pack-yrs. | 39 [23–50] | <0.001 | 45 [30–60] | 45 [30–60] | <0.001 | 49 [30–62] |
| Presence of nodule | 349 (56.9%) | <0.001 | 651 (46.8%) | 556 (49.4%) | NS | 95 (35.7%) |
| <1cm | 88 (25.2%) | <0.001 | 26 (4.1%) | 24 (4.4%) | NS | 2 (2.1%) |
| 1–3cm | 194 (54.6%) | 235 (36.2%) | 203 (56.5%) | 32 (33.6%) | ||
| >3cm | 67 (19.1%) | 390 (59.9%) | 329 (59.1%) | 61 (64.2%) | ||
| CEA (ng/ml) | 2.2 [1.4–3.4] | <0.001 | 5.5 [2.6–22.6]** | 6.1 [2.6–24.5]** | 0.001 | 4.8 [2.2–12.8]* |
| CYFRA 21-1 (ng/ml) | 1.8 [1.3–2.6] | <0.001 | 4 [2.4–8]** | 4.4 [2.5–8.7]** | 0.001 | 3.4 [2.3–5.3]** |
| SCC-Ag (ng/ml) | 1.1 [0.8–1.5] | <0.001 | 1.2 [0.8–2.2]** | 1.3 [0.9–2.4]** | 0.001 | 1 [0.7–1.5] |
| CA 15-3 (U/ml) | 15 [10–22] | <0.001 | 21 [13.8–34]** | 22 [14–36]** | 0.001 | 19 [12–26.5] |
| NSE (ng/ml) | 12 [10–14.3] | <0.001 | 14.4 [11.7–22]** | 13.5 [11–18.7]** | 0.001 | 39 [20–86]** |
| ProGRP (pg/ml) | 38 [27–49] | <0.001 | 43.2 [30.6–67]** | 39.9 [28.7–54]** | 0.001 | 453 [69.5–1,727]** |
SCLC: small-cell lung cancer; NSCLC: non-small-cell lung cancer; cm: centimetre.
NS: non-significant; *p=0.01 and **p<0.0001 versus no cancer; *patients without metastases.
Table 3 summarizes the diagnostic sensitivity, specificity, NPV, and PPV of TB for predicting the risk of LC, both individually and in combination. The individual diagnostic sensitivity ranged from 19.4% (NSE) to 59.8% (CYFRA 21-1), while specificity was notably higher, varying from 89.6% (CYFRA 21-1) to 99.3% (NSE). This variation is observed because LC is not a single disease but consists of multiple histological subtypes with distinct behaviours, expression patterns and treatment responses. For example, NSE is predominantly elevated in SCLC, which accounts for approximately 20% of LC cases. Consequently, the sensitivity of NSE is low across all LC subtypes but remains highly specific for SCLC when elevated. By incorporating a comprehensive tumour marker panel, the software accounts for these variations, enabling accurate classification of LC subtypes based on expression patterns. Combined TB assessments, whether defined as a ≥1 abnormal TB marker or through software-based analysis, substantially improved diagnostic sensitivity (89.4% and 87.7%, respectively). The software demonstrated a higher specificity (75.5%) compared to ≥1 abnormal TB (63.9%) and exhibited the best NPV (73.03%) and PPV (89.06%).
Sensitivity, specificity, negative predictive values (NPV) and positive predictive values (PPV) of each tumour biomarker investigated (upper panel), as well as their combined evaluation and r with the use of the CLAUDIA algorithm.
| Sensitivity1223/1392 | Specificity463/613 | NPV | PPV | |
|---|---|---|---|---|
| Individual assessment | ||||
| CEA, ng/ml | 52.5% 731 | 91.7% 562 | 46% | 93.5% |
| CYFRA 21-1, ng/ml | 59.8% 832 | 89.6% 549 | 49.5% | 92.8% |
| SCC-Ag, ng/ml | 20.1% 280 | 96.4% 591 | 34.7% | 92.7% |
| CA 15-3, U/ml | 23.5% 327 | 98.5% 604 | 36.2% | 97.3% |
| NSE, ng/ml | 19.4% 270 | 99.3% 609 | 35.2% | 98.5% |
| ProGRP, pg/ml | 26% 362 | 91.2% 559 | 35.2% | 87.1% |
| Combined assessment | ||||
| ≥1 abnormal TM value (six tumour markers) | 89.44% 1245 | 63.95% 392 | 72.3% | 84.9% |
| Algorithm | 87.7% 1223 | 75.5% 463 | 73.03% | 89.06% |
The NRI analysis of the software led to an overall reclassification rate of 9.8% compared to the elevated ≥1 TB rule. Among 113 reclassified cases, 104 were changed from positive to negative (7.09%), while 9 shifted from negative to positive. Consequently, the software improved NRI by approximately 10% in distinguishing LC from non-LC cases.
The NB difference between the elevated ≥1 TB approach and the software was 0.07%, meaning that for every 14 cases analysed, one additional true cancer case was identified without increasing the false positives.
The prevalence and size of lung nodules were significantly greater in LC patients (Table 4). Across all nodule size categories (<1cm, 1–3cm, and >3cm), TB levels were significantly higher in LC patients (Fig. 3B). Fig. 2A illustrates the relationship between TB levels and the histological subtypes of LC. NSE and ProGRP showed greater sensitivity in detecting SCLC, whereas CYFRA 21-1 and CEA demonstrated higher diagnostic utility in NSCLC. Of note, NSE and ProGRP concentrations were comparatively lower in NSCLC. Furthermore, CYFRA 21-1 concentrations were markedly elevated in SCC, while CEA levels were significantly increased in ADC.
Tumour biomarker values (median [interquartile range]) stratified by nodule size and type (benign vs. cancer). To avoid the potential bias due to the presence of metastasis, patients with stage IV lung cancer were excluded from this analysis. For further explanations, see text (2005 patients).
| Nodule size<1cm | Nodule size1–3cm | Nodule size>3cm | |||||||
|---|---|---|---|---|---|---|---|---|---|
| Benignn=88 | p-Value | Cancern=26 | Benignn=194 | p-Value | Cancern=235 | Benignn=67 | p-Value | Cancer n=390 | |
| CEA, ng/ml | 2.4 [1.3–3.8] | NS | 3.1 [2.1–7.5] | 2.2 [1.2–3.3] | 0.001 | 3.7 [2.2–7.9] | 2.2 [1.4–3.8] | 0.001 | 4.6 [2.5–12.1] |
| CYFRA 21-1, ng/ml | 1.7 [1.3–2.4] | 0.001 | 2.9 [1.6–4.3] | 1.9 [1.4–2.7] | 0.001 | 2.8 [1.6–3.8] | 1.7 [1.3–2.3] | 0.001 | 3.8 [2.3–7.1] |
| SCC-Ag, ng/ml | 1.1 [0.9–1.4] | NS | 1.2 [0.8–1.6] | 1.1 [0.8–1.5] | 0.054 | 1.2 [0.9–1.7] | 1.1 [0.9–1.5] | 0.001 | 1.6 [1–3] |
| CA 15-3, U/ml | 14 [9.6–19.8] | 0.012 | 21.4 [12.9–31.8] | 15 [10–21] | 0.01 | 16.2 [11.5–25] | 13.5 [9–20.8] | 0.001 | 19 [13–27] |
| NSE, ng/ml | 12 [10–14] | NS | 12 [9.2–19] | 12 [10–14.9] | 0.03 | 12 [10.5–18] | 12 [10.1–14.8] | 0.001 | 14.1 [11.6–20] |
| ProGRP, pg/ml | 39 [29.3–51] | 0.076 | 49 [25.8–66] | 35 [26–46.8] | 0.009 | 43 [31.5–61.1] | 33 [23.2–44.3] | 0.001 | 42.8 [30–66] |
NS: non-significant.
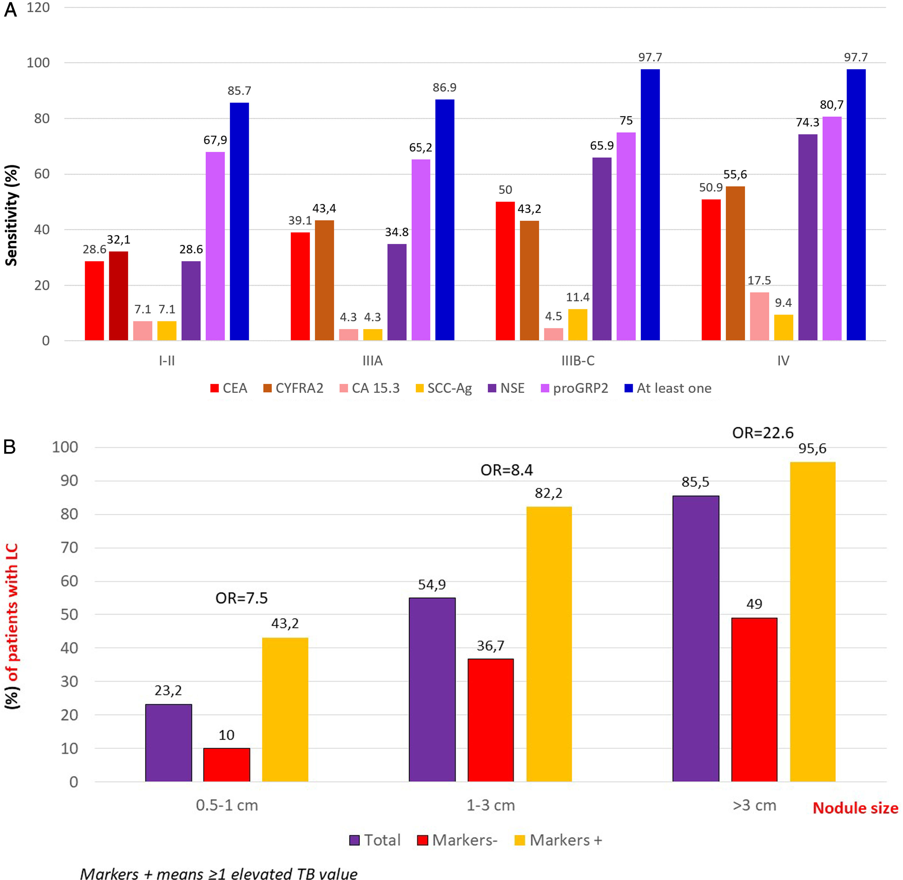
Fig. 2B reveals that, within NSCLC, the sensitivity of TB tends to rise proportionally with increasing tumour burden or more extensive dissemination.
Fig. 3A presents concordant findings for SCLC, further supporting the diagnostic relevance of NSE and ProGRP in this histological subtype.
(A) Serum tumour biomarker sensitivity is subdivided according to tumour stage in SCLC. (B) Probability of lung cancer according to serum tumour biomarker levels and nodule size (CT scan). ADC: adenocarcinoma; SCC: squamous cell carcinoma; uNSCLC: unspecific non-small-cell lung cancer; SCLC: small-cell lung cancer. CA 15.3: carbohydrate antigen 15.3; CEA: carcinoembryonic antigen; CYFRA 21-1: cytokeratin-19 fragment, NSE: neuron-specific enolase; ProGRP: progastrin-releasing peptide; SCC-Ag: squamous cell carcinoma-associated antigen. For further explanations, see the text. OR: odd ratio; cm: centimetre. TB: tumour biomarker; T1: initial analysis; T2: second analysis 3–4 weeks later; LC: patients with final diagnosis of lung cancer; No LC: patients with final diagnosis of no lung cancer.
Fig. 3B depicts the estimated probability of malignancy stratified according to nodule size and TB positivity, demonstrating that both increased nodule dimensions and TB positivity are associated with a significantly higher likelihood of cancer.
Table 5 summarizes the concordance between algorithm-predicted classifications and the definitive histological diagnoses. The algorithm achieved high concordance for SCLC (90.0%), NSCLC (91.2%), and its major subtypes, including ADC (79.4%) and SCC (63.4%). However, the performance was less robust in cases categorized as unspecified NSCLC (uNSCLC), as well as in the moderate-risk groups, which yielded concordance rates ranging from 8.7% to 38.0%. These findings demonstrate that the algorithm accurately distinguishes among the most common tumour types, while less well-defined or indeterminate categories remain a challenge. The heterogeneity analysis of the diagnostic accuracy across the 12 participating centres revealed mixed results. We found homogeneity in specificity between centers (p=0.081; I2=39.0%), indicating the algorithm's stable capacity to correctly identify non-malignancy. Conversely, significant statistical heterogeneity was detected for sensitivity (p=0.005; I2=59.6%). We tested the hypothesis that this variability was driven by differences in case-mix. When centers were classified into two clinical subgroups based on the percentage of early-stage patients (those with >25% and those with <20%) see Table S3, homogeneity was successfully demonstrated in both sensitivity and specificity within each subgroup, confirming that the observed heterogeneity was explained by differences in patient populations (Table S2).
Confusion matrix comparing algorithm-suggested histological classifications with definitive final diagnosis. Absolute frequencies are shown for each diagnostic category (no cancer, SCLC, uNSCLC, ADC, SCC), along with the percentage of patients with cancer (% patients with cancer) and concordance rates for each group.
| Histology | Total | Suggested versus diagnosed | Suggested versus diagnosed uNSCLC* and ADC | ||||||||
|---|---|---|---|---|---|---|---|---|---|---|---|
| No cancer | SCLC | NSCLC | uNSCLC | ADC | SCC | Concordance with cancer | Concordance with histology | %patients with cancer | Concordance | ||
| Classification algorithm | |||||||||||
| No cancer | 464 | 13 | 158 | 24 | 99 | 35 | 635 | 26.9 | 73.1% | ||
| SCLC | 4 | 224 | 21 | 4 | 11 | 6 | 249 | 98.4 | 90.0% | ||
| NSCLC | 65 | 19 | 869 | 131 | 486 | 252 | 953 | 93.2 | 91.2% | ||
| uNSCLC | 16 | 6 | 131 | 30 | 66 | 35 | 153 | 89.5 | 19.6% | ||
| ADC | 28 | 11 | 488 | 72 | 372 | 44 | 527 | 94.7 | 70.6% | 93.5% | 79,41176471 |
| SCC | 21 | 2 | 250 | 29 | 48 | 173 | 273 | 92.3 | 63.4% | ||
| Moderate risk NSLSC | 56 | 7 | 52 | 10 | 20 | 22 | 115 | 51.3% | 8.7% | ||
| Moderate risk ADC | 23 | 2 | 25 | 3 | 19 | 3 | 50 | 54.0% | 38.0% | ||
| Moderate risk SCC | 1 | 1 | 1 | 0 | 0 | 1 | 3 | 66.7% | 33.3% | ||
| Total | 613 | 266 | 1126 | 172 | 635 | 319 | 2005 | ||||
SCLC: small cell lung cancer; NSCLC: no-small cell lung cancer; uNSCLC: unclassified NSCLC; ADC: adenocarcinoma; SCC: squamous cel carcinoma.
Recent bibliometric analyses provide insights into the growing interest in TBs for the diagnosis of LC. A review of 990 publications from 2000 to 2022 highlights the sustained research focus on TBs and underscores the unmet need for expert software to analyse these biomarkers [29]. Our study addresses this gap by validating a six-TB panel (CEA, CA 15-3, SCC, CYFRA 21-1, NSE, and ProGRP) in conjunction with expert software. Previous research has demonstrated that this panel delivers high sensitivity (88.5%) and specificity (82%) in single determinations, with further improvements through serial testing [20]. In our multicentre study, the panel exhibited a similar sensitivity (87.7%), confirming its robustness and applicability in larger, diverse patient populations. Notably, this present study represents the first large-scale multicentre evaluation of these TBs with the software, as most previous investigations have been limited to smaller, single centre cohorts.
Our findings demonstrate that the CLAUDIA software achieves strong diagnostic performance (sensitivity 89%, specificity 73%), which is highly competitive with established methods described in the diagnostic literature, such as LDCT [4,5,7,30,31] and nucleic acid-based liquid biopsies [9,32]. Since our cohort has a high disease prevalence due to its focus on patients already undergoing diagnostic workup for highly suspicious clinical and radiological findings, the algorithm's performance requires further validation in the context of a low-prevalence screening setting before its utility can be fully established as a supplement to current screening procedures.
LC comprises various histological subtypes associated with distinct TB expression patterns. For instance, SCLC predominantly expresses NSE and ProGRP, while NSCLC subtypes exhibit higher levels of other TBs (Figs. 2A, 2B, 3A). This diversity underscores the need for a comprehensive TB panel capable of detecting all LC subtypes. As shown in Figs. 2B, 3A and Table 3, there is an association between the TB expression pattern and the histological subtype, which enables the software to suggest a particular histology based on the TB concentrations measured. Furthermore, tumour stage plays a crucial role in diagnosis as early-stage LC – characterized by smaller nodules – poses a greater diagnostic challenge than advanced disease. Previous studies, including our own, have demonstrated that abnormal TB levels significantly increase cancer risk across all nodule sizes. Specifically, patients with nodules smaller than one centimetre exhibit a fivefold increased risk if TB levels are abnormal, while those with nodules larger than three centimetres and abnormal TB levels have a >95% risk of LC [11,13,15,20,33]. Fig. 3B illustrates the strong association between nodule size and TB positivity in the probability of presenting cancer.
While essential, static imaging techniques such as CT scans have limitations in assessing the dynamic nature of tumour growth and behaviour. This challenge is particularly evident in aggressive tumours, which can progress rapidly over short timeframes. The software addresses this issue by integrating static imaging data (e.g., nodule size, shape, and presence) with dynamic biomarker data from TB concentrations. This combination of the two types of data significantly enhances diagnostic accuracy and facilitates earlier detection of LC.
Unlike artificial intelligence models [34], our approach utilises predefined cut-off values for different pathologies based on empirical data. It applies expert-driven rules to personalize these cut-offs, leveraging a robust, validated database of over 5000 patients, including healthy individuals, those with benign pathologies, and LC patients [11,13,20]. By proactively addressing potential sources of error, the software ensures a high level of reliability. It minimizes false positives, even in complex cases involving confounding factors such as pleural effusion or other non-cancerous conditions. In cases of diagnostic uncertainty, repeating measurements after 3–4 weeks significantly improves diagnostic accuracy, reaching a high specificity as already shown in previous studies by our group [20].
In our study, the software demonstrated notable improvements in diagnostic performance compared to TBs only. Specificity increased from 63.9% to 75.5%, PPV from 84.9% to 89.1%, and sensitivity was maintained at 87.7%. The NRI analysis revealed a 10% improvement in the accuracy of classification compared to using TB alone, which, according to some authors, could have a greater clinical impact than a 10% increase in the area under the curve in some analyses such as the risk-prediction [35], highlighting the clinical relevance of incorporating the expert software into diagnostic workflows. Our results demonstrate that the algorithm performs reliably for the primary histologic subtypes of LC, particularly SCLC and NSCLC, reaching concordance rates of 90.0% and 91.2%, respectively. Subtype-level discrimination was also strong for ADC and SCC, supporting the potential utility of the algorithm in routine diagnostic workflows. Nevertheless, accuracy substantially decreased in uNSCLC and in specimens classified as moderate risk, indicating that indeterminate or overlapping features may reduce algorithm precision in these categories. This limitation underscores the need for further refinement of the algorithm, potentially through training with a larger and more diverse dataset or by integrating additional diagnostic modalities. Ultimately, improving algorithmic performance in these challenging cases is critical for its broader implementation in clinical practice. These analytical features render this working model a valuable asset for Rapid Diagnosis Units. It facilitates swift stratification of patients based on their risk of developing LC, enabling the expeditious identification of patients who should be given high priority for treatment. Moreover, the ability to suggest the histological subtype of a tumour may provide critical guidance in determining the suitability of a patient for surgical intervention. In cases in which SCLC is indicated, concordance with the definitive histopathological diagnosis exceeds 90%. Early identification of the potential histological subtype also facilitates more targeted diagnostic strategies, such as obtaining sufficient tissue for next-generation sequencing, particularly in patients with tumours located in anatomically challenging regions.
The specificity achieved by the expert software in this study (75.5%) was slightly lower than the 82% reported in previous studies [20]. This discrepancy may be attributed to the multicentre nature of the trial, which involved routine clinical conditions across 12 hospitals and laboratories. Nevertheless, our findings in previous studies reinforce the potential of serial TB determinations in reducing false positives, emphasizing the importance of dynamic TB assessments in real-world clinical settings [20,36,37].
Overall, our findings highlight the potential of the six-TB panel and expert software as valuable complements to LDCT in early LC detection. The strong correlation between TB results and nodule size suggests that patients with small nodules and abnormal TB levels should be prioritized as high-risk groups. Compared to established screening methods for other cancers, such as faecal occult blood testing for colorectal cancer or prostate-specific antigen testing for prostate cancer, our TB panel and software demonstrate superior diagnostic performance, with advantages that include being non-invasive, cost-effective, widely available, easy to repeat in a short time and capable of achieving high specificity when combined with serial testing.
We conclude that this study confirms the effectiveness of a six-serum TB panel (CEA, CA 15-3, SCC-Ag, CYFRA 21-1, NSE, and ProGRP) combined with the CLAUDIA expert software for diagnosing LC. The CLAUDIA expert software further enhances diagnostic accuracy, achieving the highest sensitivity-to-specificity ratio (87.7% and 75.5%), as well as the best PPV (89%), and NPV (73.03%) among currently available diagnostic tests for LC. Moreover, the correlation between TB results and nodule size, along with a sensitivity of 70% in early stages, suggests that the TB lung panel and CLAUDIA expert software could serve as valuable complementary tools to LDCT scans for early detection of LC. The aim of the CLAUDIA algorithm was not to replace established imaging modalities but to serve as a simple, fast (providing results in 4h), standardized, and affordable tool that supports rapid clinical decision-making. The algorithm provides results within 4h and is designed to be applicable in any healthcare setting, regardless of local imaging resources.
We acknowledge that the observed prevalence of lung cancer in our study cohort (69.4%) is high. This was expected, as the population comprised patients referred to Rapid Diagnostic Units due to an existing clinical or radiological suspicion of malignancy, resulting in a naturally high pre-test probability. This high-risk context is precisely where clinicians need the most support in stratifying indeterminate cases and act promptly.
Importantly, CLAUDIA goes beyond simple binary risk stratification by predicting the most probable histological subtype in high-risk cases (Table 5). This crucial additional information allows clinicians to anticipate subsequent diagnostic steps or complementary molecular testing, significantly improving patient management.
The most relevant finding in our meta-analysis is the significant heterogeneity observed in sensitivity, which contrasts with the stable performance observed in specificity. Our subsequent subgroup analysis, classifying centres by the proportion of early-stage patients, effectively resolved this heterogeneity. This confirms that the variation in sensitivity is predominantly a function of the pre-test probability (i.e., the disease stage distribution) rather than fundamental differences in the core performance of the CLAUDIA algorithm or variations in laboratory methodology. This dependency on case-mix is a known phenomenon in diagnostic tests, and the restoration of homogeneity within defined subgroups strengthens the argument for the test's consistency when applied to similar patient populations.
Further research is needed to validate these findings and assess their clinical significance.
Strengths and limitationsWe carried out the validation study in 12 different centres with minimal prior training with the software. Despite the differences among the centres, the results have been very satisfactory. We believe that with more extensive prior training, the results could have significantly improved. However, this also highlights the intuitive and user-friendly strengths of this software.
The primary strength of this work is its prospective, multicentre external validation design. The evaluation across 12 hospitals with varying complexity and protocols assures the reproducibility and robustness of the CLAUDIA algorithm, a fact formally confirmed by the statistical homogeneity of specificity across all centres. This provides strong evidence that the tool is reliable regardless of the specific healthcare setting. The study will allow us to evaluate the capacity of tumour markers in combination with imaging methods for the diagnosis of patients arriving at the rapid diagnosis unit under unified criteria. A key strength of this study is the successful explanation of initial statistical heterogeneity through a robust subgroup analysis based on clinical criteria (proportion of early-stage patients). The demonstrated homogeneity of both sensitivity and specificity within the defined clinical subgroups confirms the algorithm's reliable and generalizable performance when applied to patient cohorts with similar disease stage distributions. Furthermore, the overall homogeneity of specificity across all 12 centers strengthens confidence in the test's ability to minimize false positives, a critical factor for screening applications.
The study's limitations include the lack of registration in a public database like ClinicalTrials.gov, a practice we acknowledge as advisable for the prospective component of the study. The primary weakness lies in the initial finding of significant heterogeneity in the overall sensitivity when all 12 centers are analyzed together. Although this heterogeneity was statistically explained by the case-mix differences, it underscores the need for standardized patient selection criteria in future studies to minimize variability. Another limitation is the dependence on aggregated data (TP/FP/TN/FN), which prevents us from performing more detailed individual patient data (IPD) meta-regression to identify other potential predictors of performance variation beyond the disease stage. We also acknowledge that our study did not include a direct comparison against other established risk prediction models, such as the Mayo Clinic model. Future validation studies should aim to benchmark our model directly against these tools to better ascertain its comparative effectiveness.
CRediT authorship contribution statementR. Molina, A. Barco and J. Trapé: study concept and design, statistical analysis, and manuscript drafting. They had full data and took responsibility for the integrity of the data analysis which they performed.
All authors collaborated in the recruitment of patients, data curation and submission of results for analysis.
Declaration of generative AI and AI-assisted technologies in the writing processThe authors declare that the material has not been partial or totally produced with the help of any artificial intelligence software or tool.
FundingSoftware CLAUDIA was funded in part by Roche Diagbostics SL.
Conflict of interestThe authors declare not to have any conflicts of interest that may be considered to influence directly or indirectly the content of the manuscript.
The authors are especially grateful and want to pay tribute to Dr. Rafael Molina, who designed and led the study and sadly passed before its end. We have all learned from his enthusiasm, drive, and personal values. He has been a leader in handling TB and was our teacher and friend. This study was his idea and would not have been possible without his encouragement. We will continue his teachings, improving and developing greater TB management algorithms to improve the diagnosis of cancer. We hope that this work serves as a tribute to him.
We would like to express special gratitude to Luis de Cabo and Jordi Ordóñez for his selfless help in revising the manuscript and the enthusiasm he conveyed to us.
We are indebted to the study participants. All the professionals from the different hospitals collaborated with professionalism and enthusiasm. This study has allowed collaboration between the Clinical Laboratory and the Pneumology Departments of the different hospitals, improving diagnosis and patient care.







