Sr. Director: Queremos expresar nuestra satisfacción por la reciente publicación en la revista oficial de la Sociedad Española de Neumología y Cirugía Torácia (SEPAR) de los resultados de un grupo español que realiza cirugía de reducción de volumen desde hace varios años. Hemos leído con gran interés el artículo "Resultados a los 4 años de la cirugía de reducción de volumen en el enfisema" presentado por el grupo de Valencia1. Los resultados de esta serie son similares a nuestra experiencia en 20 pacientes intervenidos a lo largo de 4 años, publicada hace 2 años2.
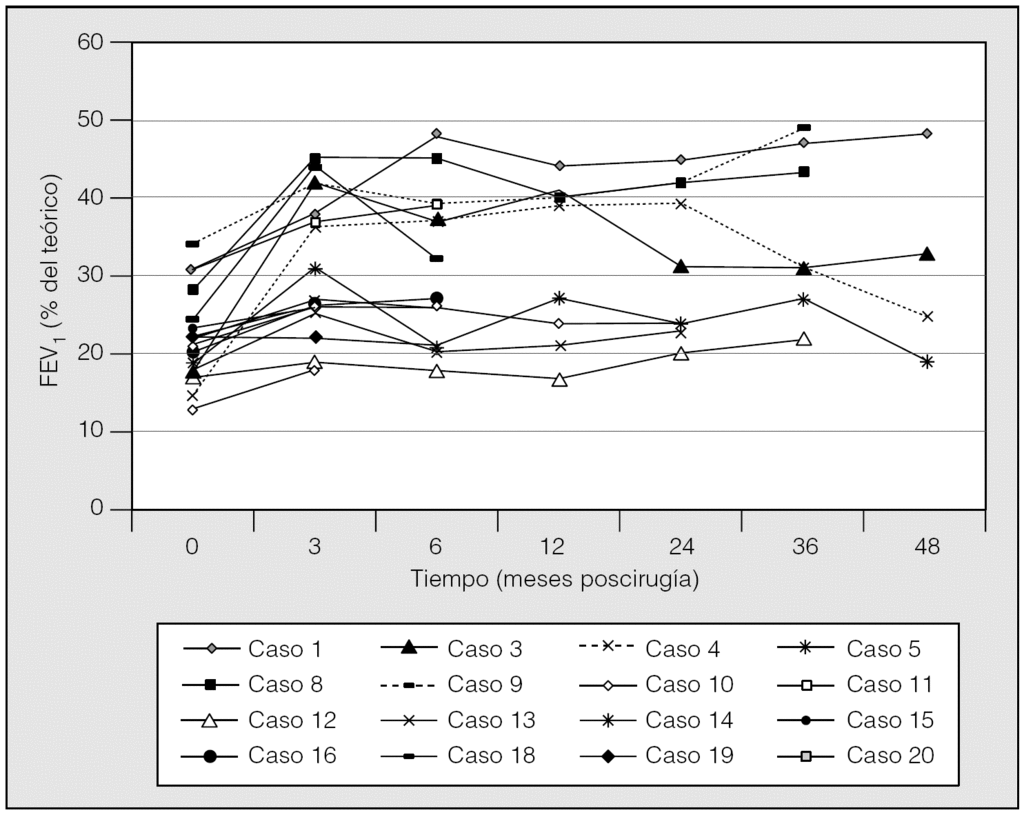
Al igual que estos autores, hemos observado en nuestra serie un amplio rango de mejoría en el volumen espiratorio forzado en el primer segundo (FEV1) tras la intervención quirúrgica (entre 86 y 871 ml) que alcanzaron en la mayoría de los casos entre los 3 y 6 meses, sin que ningún dato prequirúrgico nos permita predecir esta respuesta. Sin embargo, mientras que en el grupo de Juan et al1 sólo un paciente mantenía la mejoría a los 2 años, en nuestra serie (fig. 1) 9 pacientes mantenían a los 2 años mejor función que antes de la cirugía y en 3 casos la mejoría del FEV1 fue superior a 200 ml. A los 4 años de la intervención, 3 pacientes tenían mejor función pulmonar que antes de la cirugía.
Fig. 1. Evolución del volumen espiratorio forzado en el primer segundo (FEV1) tras la cirugía de reducción de volumen pulmonar en los 20 pacientes intervenidos en la Clínica Puerta de Hierro.
A diferencia del grupo de Valencia, en nuestra experiencia el aprendizaje del manejo perioperatorio de estos pacientes disminuye la mortalidad temprana, puesto que nuestros pacientes fallecidos en el postoperatorio inmediato fueron todos de la primera etapa quirúrgica.
A pesar de que la función pulmonar disminuye con el tiempo tras la cirugía, nuestra opinión sobre esta técnica quirúrgica es más positiva que la expresada por el grupo de Valencia. Si la mortalidad de este tratamiento es inferior al 5%, como publican los grupos con experiencia en más de 100 casos3, mantener la misma o mejor función pulmonar después de 2 años, en una enfermedad lentamente progresiva, podría suponer un beneficio clínico para el paciente y puede retrasar el trasplante pulmonar.
Probablemente debamos realizar más esfuerzos por reconocer las características fisiopatológicas o morfológicas que identifiquen a los pacientes que experimentan una mejoría mayor con la cirugía, para así seleccionar adecuadamente a los candidatos a esta técnica.








