Introducción
Está fuera de toda duda la primacía del cáncer de pulmón como causa principal de muerte por enfermedad neoplásica en los países occidentales1. En España la mortalidad en el varón sigue siendo más elevada que en la mujer2, si bien la tendencia en ambos sexos es a la convergencia como consecuencia de la evolución del hábito tabáquico en la población3. Pese a las mejoras realizadas en cuanto a la precisión diagnóstica y la estadificación, los avances terapéuticos no han modificado sustancialmente la ya de por sí pobre esperanza de supervivencia4. La mayoría de las provincias españolas disponen de un conocimiento indirecto de la importancia del cáncer de pulmón, basado en los registros a partir de las tasas de mortalidad publicadas por el Instituto Nacional de Estadística. En nuestra región disponemos de las publicadas por la Consejería de Sanidad del Principado de Asturias para los años 1990-19935,6.
El objetivo de este estudio es conocer la incidencia del carcinoma broncogénico (CB) en el Principado de Asturias, así como el tratamiento aplicado y la supervivencia. A tal fin, la Sociedad Asturiana de Patología Respiratoria (ASTURPAR) creó un grupo cooperativo regional que incluía a todas las unidades, tanto públicas como privadas, de neumología y cirugía torácica de la región, que recogió todos los casos de CB diagnosticados en ellas durante el año 2001.
Pacientes y métodos
Se realizó un estudio multicéntrico retrospectivo, de ámbito regional y carácter observacional. Se diseñó un protocolo de recogida de datos que fue discutido y aceptado por todos los integrantes del grupo. Los datos considerados en este trabajo fueron: filiación, edad, sexo, hábito tabáquico, tipo de muestra empleada para el diagnóstico (citológica, histológica o ambas). El tipo histológico de tumor, según la clasificación histológica de la Organización Mundial de la Salud (OMS) de 19997, se recogió en 5 categorías: epidermoides, adenocarcinomas y anaplásicos de células grandes, agrupados como CB no microcítico (CBNM) y carcinoma microcítico o de células pequeñas (CBCP). Un quinto grupo llamado "indeterminados" reunía las muestras con características de CBNM, que el anatomopatólogo, por dificultades de clasificación, no podía tipificar. Asimismo, se consideró la estadificación TNM según la clasificación de la Sociedad Española de Neumología y Cirugía Torácica (SEPAR)8, basándose en estudios radiológicos (radiología convencional y tomografía computarizada) y endoscópicos. Se realizaron estudios complementarios de extensión según la presencia de síntomas a distancia (ecografía, resonancia magnética, tomografía computarizada craneal). También se tomaron en consideración el tratamiento indicado en cada caso y el seguimiento clínico del paciente. La fecha de fallecimiento se obtuvo a través de la historia clínica, del registro de mortalidad o, en su defecto, a través de llamada telefónica.
Se incluyó a todos los pacientes con residencia habitual en la región y diagnóstico citohistológico de CB primario entre el 1 de enero y el 31 de diciembre de 2001. También se incluyeron los CB que, aun sin confirmación citohistológica, reunían datos clínicos, radiológicos o endoscópicos concordantes con CB por estimar que otra opción diagnóstica quedaba razonablemente descartada9. Se hizo un seguimiento medio de 3 años (rango: 2,5 a 3,5 años) y el estudio se cerró el 30 de junio de 2004.
Análisis estadístico
Para el cálculo de las tasas de incidencia se empleó como población de referencia la registrada en el padrón municipal de Asturias de 1999. Las tasas estándar ajustadas a la población mundial se calcularon por el método de ajuste directo. Tras introducir los registros en una base de datos informática se realizó el estudio con el programa SPSS 6.0 con licencia de uso. Inicialmente se completó un estudio descriptivo obteniendo porcentajes para las variables cualitativas y medias con intervalos de confianza (IC) o rangos para las cuantitativas. A continuación se realizó un análisis de la supervivencia mediante el método de Kaplan-Meier. Las curvas de supervivencia así obtenidas se compararon mediante la prueba de Mantel-Haenszel (de rangos logarítmicos). En todos los cálculos se mantuvo el nivel de significación en una probabilidad de 0,05.
Resultados
El Principado de Asturias abarcaba una población de 1.084.314 personas en 1999. Se recogió un total de 521 casos. En la tabla I se muestran las características del grupo en cuanto edad, sexo, hábito tabáquico y tasas de incidencia.
No habían fumado nunca 32 pacientes (6%), el 1,6% de los varones y el 55,8% de las mujeres. El consumo medio (± desviación estándar) de tabaco en los fumadores fue de 54,7 ± 24,6 paquetes/año (rango: 4-150). El 93% había fumado 20 o más paquetes-año. En la tabla II se recogen el método diagnóstico y la clasificación según la estirpe, estadificación y grado funcional en escala de la OMS. En el momento del diagnóstico, el 36% de nuestros pacientes tenían metástasis a distancia. El 53,5% de los CBNM se encontraban en estadios avanzados (IIIB y IV) y el 52,8% de los CBCP tenían enfermedad extendida. El análisis del tratamiento aplicado fue posible en 515 pacientes (98,8%) (tabla III).
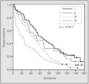
La supervivencia se analizó a los 3,5 años del comienzo del estudio (30 de junio de 2004) con un seguimiento medio de 3 años. De los 521 casos recogidos se obtuvieron datos de supervivencia de 427 pacientes (82%). La mediana de supervivencia global (fig. 1) fue de 36,4 semanas (IC del 95%, 29,4-43,4), y fue similar en varones (36,7 semanas; IC del 95%, 28,6-44,8) y mujeres (31,7 semanas; IC del 95%, 16,5-47,1) (fig. 2). En la figura 3 se exponen las curvas de supervivencia de los pacientes con CBCP y CBNM, y se ecluyen los casos diagnosticados clínicamente. El análisis se realizó sobre 400 casos (327 CBNM y 73 CBCP). La mediana de supervivencia en los CBNM fue superior (39,7 semanas; IC del 95%, 32,6- 46,8) a las de los CBCP (35,1 semanas; IC del 95%, 23,8-46,4), aunque sin diferencias estadísticamente significativas.
Fig. 1. Supervivencia global calculada por el método de Kaplan-Meier.
Fig. 2. Supervivencia según el sexo calculada por el método de Kaplan-Meier. *Valor de p del test de Mantel-Haenszel.
Fig. 3. Supervivencia según grupo histológico, calculada por el método de Kaplan-Meier. CBNM: carcinoma broncogénico no microcítico; CBCP: carcinoma broncogénico de células pequeñas. *Valor de p del test de Mantel-Haenszel.
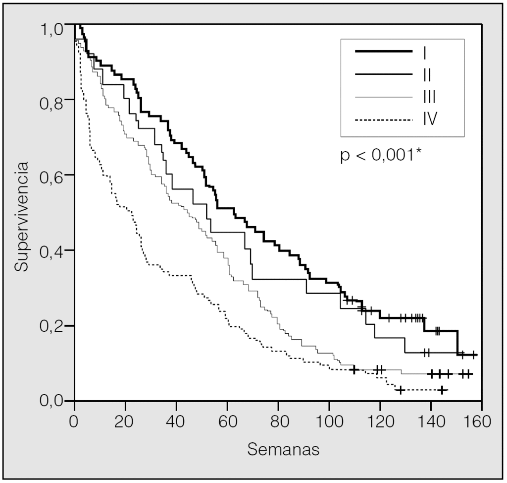
En función de la extensión tumoral (tabla IV), los estadios localizados tuvieron una supervivencia mayor tanto en el CBNM (fig. 4) como en el CBCP (fig. 5). La mayor mediana de supervivencia se obtuvo en los pacientes que se sometieron a cirugía (69,3 semanas; IC del 95%, 49-89,5), seguida de los que recibieron quimioterapia (39,6 semanas; IC del 95%, 31,2-48) y radioterapia (30 semanas; IC del 95%, 15,4-44,6). La supervivencia de los que solamente recibieron tratamiento paliativo fue de 13,33 semanas (IC del 95%, 5,9-0,6), y no se encontraron diferencias estadísticamente significativas entre radioterapia sola y quimioterapia, y sí entre el resto de los grupos (p < 0,001) (fig. 6).
Fig. 4. Supervivencia según la estadificación del carcinoma broncogénico no microcítico calculada por el método de Kaplan-Meier. *Valor de p del test Mantel-Haenszel.
Fig. 5. Supervivencia del carcinoma broncogénico de células pequeñas según su extensión, calculada por el método de Kaplan-Meier. EL: enfermedad limitada; EE: enfermedad extendida. *Valor de p del test de Mantel-Haenszel.
Fig. 6. Supervivencia en semanas según la indicación terapéutica por el método de Kaplan-Meier. *Valor de p del test de Mantel-Haenszel.
Discusión
El CB continúa siendo un importante problema sanitario. La imprecisión de los datos obtenidos de los certificados de defunción en cuanto a mortalidad de dicha neoplasia queda subsanada en gran medida por los registros de tumores de base poblacional. El Principado de Asturias dispone de un registro homologado de cáncer6, que se basa en los certificados de defunción. El presente estudio es el primero realizado por neumólogos en nuestra región. La revisión de historias clínicas provenientes de las consultas de neumología puede dar lugar muy probablemente a una subestimación de la incidencia real. No obstante, la pérdida de pacientes diagnosticados en las unidades de medicina primaria o medicina interna, de haberse producido, pensamos que debe de ser pequeña por la presencia del especialista neumólogo en todas las áreas sanitarias.
Como en la mayoría de las casuísticas de los países occidentales10,11, la edad media de nuestros pacientes es similar a la de los de otras regiones españolas12-15. El análisis de la distribución por sexos indica que el cáncer de pulmón sigue siendo un proceso que afecta fundamentalmente a varones (el 92% en nuestra serie) y fumadores (94%), como no podía ser de otra manera.
Las tasas de incidencia total y las específicas por sexo en nuestra región (tabla I) son ligeramente superiores a las publicadas en Castilla y León12, Castellón14 y La Coruña15, e inferiores a las de Extremadura13. Al mismo tiempo, y según los datos aportados por Morote et al5,6 para la década anterior, nuestros resultados son concordantes e indican una correcta recogida de éstos.
El principal factor de riesgo de CB es el consumo de tabaco, y es conocida la clara relación dosis-efecto16, de modo que este riesgo aumenta cuanto mayores sean la intensidad y duración del hábito, así como la menor edad de inicio. En nuestro estudio, el 98% de los varones eran fumadores y el 44% de las mujeres, datos equivalentes a los publicados en otras regiones en cuanto a la prevalencia en varones, no así en las mujeres, en quienes la prevalencia es mayor que las encontradas en Extremadura13, Castellón14 y Castilla y León12, aunque similar a la hallada en La Coruña15. En este sentido, es interesante observar cómo en la provincia de Ávila, en un estudio realizado por Hernández et al17, la intensidad del tabaquismo en la mujer ha ascendido en una década, y en el año 2002 era del 23%, índice claro de la incorporación de la mujer al tabaquismo, que conducirá a un aumento paulatino de la incidencia de CB en ellas18. En nuestro estudio la tasa bruta en las mujeres en el año 2001 fue de 7,62/100.000; si bien superaba a la hallada en el estudio de Castilla y León12 realizado en 1997 (4 años antes que el nuestro), ahora es inferior (5 años después) a la aportada en una provincia de esa comunidad17.
No obtuvimos confirmación citohistológica en 43 casos (8%), porcentaje que se sitúa en una zona intermedia en relación con las series españolas consultadas e inferior al del estudio escocés de Gregor et al19 de 1995 (35,9%), al del realizado en Finlandia20 (14%) y al de Brown et al11 (26%), probablemente debido a una actitud más agresiva frente al diagnóstico por parte del neumólogo. Hemos comparado la frecuencia de las distintas estirpes histológicas con las publicadas en estudios similares21. Nuestra distribución está dentro de lo descrito, con un 81,4% de CBNM y un 18,6% de CBCP22. La frecuencia de la estirpe epidermoide (58,1%) es comparable a la de otros estudios españoles, excepto el de Hernández et al17, en el que descendió en 10 años de un 59,4 a un 38,1% y que se asemeja a lo que ocurre en otros países europeos20 y Estados Unidos23. La estirpe histológica ha ido cambiando en las últimas décadas. El adenocarcinoma es el subtipo histológico más prevalente en las mujeres y sigue aumentando24; también lo es en Estados Unidos en los varones25. La explicación de este hecho podría estar en lo propuesto por Wynder y Hoffman26 en cuanto a un mayor consumo de cigarrillos con filtro y bajos en nicotina. Los fumadores de estos cigarrillos fumarían más y harían inhalaciones más profundas para conseguir la misma concentración de nicotina deseada, similar a la que se obtendría al fumar cigarrillos sin filtro. El humo de estos cigarrillos con filtro alcanzaría zonas más profundas del árbol bronquial, donde es más frecuente el adenocarcinoma.
En cuanto a la extensión tumoral (tabla II), es de destacar que el 65% de todos nuestros pacientes diagnosticados se encontraban en estadios avanzados (III-B y IV en los CBNM) o con enfermedad extendida (en los CBCP) en el momento del diagnóstico. Nuestros datos demostraron una deficiencia grave en cuanto a la posibilidad de detección temprana, en estadios potencialmente quirúrgicos.
Todos estos hechos explicarían el escaso número de pacientes con CBNM a los que se trata con cirugía (21,3%) y la alta proporción de tratamiento paliativo como única opción terapéutica (el 26% de nuestros casos, correspondientes al 23% de los CBNM y al 10% de los CBCP). Esta tasa de tratamiento paliativo es concordante con la presentada por Montero et al15 (26%) y menor a la descrita en otras series como la de Miravent et al14 (29,8%) o la de Gregor et al19 (43,2%). No obstante, se advierte un cambio en la actitud nihilista del médico, atribuible a una mayor toma de conciencia del tratamiento activo del CB producida por los emergentes avances derivados de la aplicación de tratamientos combinados27. En el estudio de Gregor et al19, solamente el 8,2% de los CBNM y el 62,5% de los CBCP recibió quimioterapia. Esta aparente tendencia nihilista en el tratamiento del CB en Escocia puede explicarse, como argumentan los autores, por el escaso porcentaje de pacientes estudiados por neumólogos, lo que contrasta con el menor número de tratamientos únicamente paliativos aplicados en España. De todas formas, la proporción de CBNM operados quizá no experimente una tendencia al alza a corto plazo, como se demuestra en Estados Unidos, según las estimaciones del Registro Nacional de Cáncer, cuyo porcentaje se mantuvo en el 27% desde 1985 hasta 199528.
Nuestro estudio no abarca un período de 5 años para evaluar la supervivencia, por lo que nuestros resultados no pueden compararse con los de trabajos epidemiológicos publicados en Estados Unidos26 o los del grupo EUROCARE29. Nuestro análisis se efectuó en 427 pacientes, por lo que los casos perdidos podrían haber contribuido a modificar los resultados. Vivían al año 159 pacientes (40%), y a los 2 años, 56 (14%). La mediana de supervivencia fue de 36,4 semanas, sin que el sexo fuera un factor determinante. Aunque la supervivencia fue menor en los CBCP, el estudio estadístico no demostró diferencias significativas. Nuestros datos difieren de los obtenidos por otros autores 6,14,21,23,30 y son concordantes con los de Montero el al15. En este trabajo y en el nuestro, como ya se ha dicho, los pacientes con CBCP que recibieron quimioterapia representaron el 90% y ésta pudo influir en una mayor supervivencia. Quizá un mayor número de casos con enfermedad localizada pudiera ayudar a explicar estas diferencias, ya que en nuestro estudio la supervivencia de los pacientes con enfermedad limitada es claramente superior (65,35 semanas) a la de los diagnosticados con enfermedad extendida (31,64 semanas).
En el análisis univariado que se realizó en los CBNM, las variables que más significativamente influían en la supervivencia eran la estadificación TNM y el tipo de tratamiento aplicado. A pesar de que el TNM utilizado ha sido clínico, no cabe duda de su utilidad pronóstica28,31.
En conclusión, en nuestra región las características epidemiológicas del CB en cuanto a edad, sexo, incidencia, distribución histológica, extensión tumoral y hábito tabáquico no difieren de forma manifiesta de las halladas en otras áreas del ámbito nacional. El tabaquismo activo es la causa fundamental de su alta prevalencia. El porcentaje de pacientes quirúrgicos es bajo, lo que condiciona una pobre supervivencia.
Addendum
Componentes, por orden alfabético, del Grupo ASTURPAR (Sociedad Asturiana de Patología del Aparato Respiratorio) del Cáncer de Pulmón (GACP): Dr. M.A. Alonso Fernández (Neumología I. Hospital Universitario Central de Asturias [HUCA]. Oviedo), Dr. E. Álvarez-Llaneza García (Neumología. Hospital Centro Médico de Asturias. Oviedo), Dra. T. Álvarez Sánchez (Neumología II. HUCA. Oviedo), Dr. F. Carro del Camino (Neumología II. HUCA. Oviedo), Dr. B. del Busto de Lorenzo (Neumología. Hospital de Jove. Gijón), Dr. C. Escudero Bueno (Neumología I. HUCA. Oviedo), Dr. J. Flórez Gutiérrez (Neumología. Hospital Comarcal Valle del Nalón. Sama de Langreo), Dra. M. García Clemente (Neumología. Hospital Comarcal Álvarez-Buylla. Mieres del Camino), Dr. M. García Marrón (Neumología. Hospital Comarcal San Agustín. Avilés), Dr. J. Gorostidi Pérez (Neumología. Hospital Comarcal de Jarrio), Dra. C. Orejas García (Neumología. Hospital Grande Covián. Arriondas), Dra. M.T. Pascual Pascual (Neumología. Hospital de Cabueñes. Gijón), Dr. B. Rodríguez Cocina (Neumología. Hospital Comarcal de Cangas de Narcea), Dr. J. Rodríguez Rodríguez (Cirugía Torácica. HUCA. Oviedo).

















