Introducción
La espirometría continúa siendo un procedimiento esencial para el diagnóstico y la evaluación de los pacientes con enfermedad pulmonar obstructiva crónica (EPOC)1-6. Sin embargo, la relación de los parámetros espirométricos con la capacidad para realizar actividades de la vida diaria, la calidad de vida relacionada con la salud y la utilización de recursos sanitarios es débil o inexistente7-9. Las limitaciones que experimentan los pacientes con EPOC están fundamentalmente ocasionadas por la disnea10-12 y la disminución de la capacidad de realizar ejercicio13-16. La consecuencia última de estas alteraciones es una reducción progresiva de la actividad física desarrollada durante la vida cotidiana.
La determinación de la actividad física resulta de especial importancia en la medición de las repercusiones de ciertas intervenciones en sujetos débiles y sedentarios, como son los pacientes con EPOC. En la actualidad se utilizan varios métodos para valorar la actividad diaria, tales como la observación directa, los cuestionarios y diarios autoadministrados, las técnicas de radioisótopos y el seguimiento de la frecuencia cardíaca. Los acelerómetros constituyen una alternativa práctica a estos métodos. Son sensores de movimiento, que utilizan un transductor piezoeléctrico para detectar la aceleración en uno o en los 3 planos del espacio. Permiten realizar un registro continuo durante varios días y proporcionan la media de las aceleraciones experimentadas a lo largo de dicho período, denominada vector de desplazamiento (VMU). Ésta es una medida más objetiva de la actividad física, que ha demostrado alcanzar un elevado grado de precisión a través de un amplio rango de niveles de actividad, con un coste relativamente bajo17-19.
Hasta la fecha se han publicado varios trabajos con la intención de validar el uso de estos sistemas20. Sin embargo, no hay consenso general en cuanto a su forma de uso. El primer estudio publicado sobre la aplicación de acelerómetros triaxiales en pacientes con EPOC fue el realizado por Steele et al19, quienes decidieron de forma arbitraria el uso de estos sistemas durante 5 días a la semana, de jueves a lunes, incluyendo en el análisis 3 días completos: viernes, sábado y domingo.
En nuestro conocimiento, no se ha evaluado, en pacientes con EPOC, la variabilidad del registro de la actividad física, mediante un acelerómetro, entre diferentes períodos de una misma semana ni entre semanas. Si se trata de promover la implantación de los acelerómetros en el seguimiento de la actividad física cotidiana de los pacientes con EPOC, es fácil comprender que un período de medida limitado a 3 días concretos de la semana puede suponer una limitación para su uso clínico.
En este estudio se pretende evaluar la concordancia de la actividad física cotidiana de pacientes con EPOC, medida con un acelerómetro triaxial, entre el período de registro convencional (viernes a domingo) y períodos alternativos. También se intenta analizar la reproducibilidad del registro a medio plazo.
Pacientes y métodos
Pacientes
Se incluyó en el estudio a 23 pacientes atendidos consecutivamente en una consulta monográfica de EPOC y a 12 controles sanos. Todos los pacientes presentaban una obstrucción no completamente reversible en una espirometría forzada1 y se encontraban en fase estable desde hacía al menos 8 semanas, sin necesidad de cambio en su pauta de tratamiento habitual, que se ceñía a las recomendaciones de la GOLD (Global Initiative for Chronic Obstructive Lung Disease)1. Se consideraron criterios de exclusión la sospecha de asma bronquial, una prueba de broncodilatación positiva, insuficiencia cardíaca conocida, cardiopatía isquémica o valvular, enfermedad neuromuscular, enfermedad vascular periférica o cualquier trastorno incapacitante. Se consideró criterio de retirada la existencia de una reagudización de la enfermedad o la necesidad de introducir cualquier cambio en la medicación habitual durante el período del estudio.
Todos los participantes firmaron el consentimiento informado para participar en el estudio y el proyecto contó con la aprobación del Comité de Ética de la Investigación Clínica de nuestro centro.
Procedimientos
Se recogieron datos referentes a variables antropométricas (peso, estatura e índice de masa corporal), historia de tabaquismo, medicación habitual y años de diagnóstico de la EPOC. A todos los sujetos del estudio se les efectuó una espirometría forzada con un equipo MasterLab 4.2 (Jaeger, Würzburg, Alemania) siguiendo las recomendaciones de la American Thoracic Society21. Se utilizaron como valores de referencia los propuestos por la Comunidad Europea del Carbón y del Acero22 y se empleó la clasificación GOLD1 para clasificar la gravedad de la enfermedad.
La actividad física cotidiana se registró con un acelerómetro RT3 (Stayhealthy, Monrovia, CA, EEUU), que mide la magnitud del VMU. Se colocó a cada paciente un acelerómetro, que se mantuvo desde un lunes hasta el lunes siguiente, y se repitió el registro con el mismo acelerómetro 3-5 semanas después de la primera determinación. En ambas ocasiones se proporcionó simultáneamente a los participantes un cuaderno para que recogiesen la relación de actividades físicas que realizaban a lo largo de cada período del estudio.
El acelerómetro se insertó en el cinturón de los pacientes mediante una pinza (fig. 1) y se les indicó que únicamente debían quitárselo para dormir o ducharse. También se les pidió que cuando utilizasen cualquier medio de transporte que pudiera originar una aceleración adicional lo indicasen pulsando un botón del aparato. Los acelerómetros se programaron en modo 4, de tal forma que almacenan una medida del VMU en el eje triaxial cada minuto. Una vez volcado el registro, se calculó la media de todas las determinaciones del VMU, eliminando las correspondientes a los períodos marcados por la utilización de medios de transporte. También se prescindió de los picos del VMU que superaban en 20 veces la media de 10 registros previos, suponiendo que correspondían al uso de medios de transporte no señalados por el paciente.
Fig. 1. Colocación del acelerómetro RT3 durante la realización de un registro.
Análisis estadístico
Los resultados se expresan como media ± desviación estándar (DE). El análisis estadístico se realizó con el programa Statistical Package for the Social Sciences versión 11.0 (SPSS Inc., Chicago, IL, EEUU). Se consideró significación estadística un valor de p < 0,05.
Las comparaciones entre los 2 grupos del estudio se realizaron mediante la prueba de Mann-Whitney para las variables cuantitativas y mediante la prueba de la χ² para las cualitativas. La relación entre variables se analizó a través del coeficiente de correlación de Spearman23.
Para evaluar la concordancia entre los diferentes períodos de registro dentro de la misma semana se empleó el análisis de concordancia de Bland y Altman24, determinando el intervalo de concordancia del 95% entre 2 períodos (media de las diferencias ± 2 × diferencia de DE). También se calculó el coeficiente de variabilidad intrasemana (100 × DS/media)22. Para cada grupo del estudio se realizó un análisis de fiabilidad del registro del acelerómetro dentro de la misma semana, según el modelo de consistencia interna de Cronbach, determinando el coeficiente de correlación intraclase promedio.
La reproducibilidad entre semanas se valoró a través de la determinación del intervalo de reproducibilidad del 95% y del coeficiente de reproducibilidad24.
Resultados
De los 23 pacientes del grupo EPOC, 9 presentaban enfermedad moderada (grado II de la clasificación GOLD), 9 grave (GOLD III) y 5 muy grave (GOLD IV). El tiempo medio (± DE) de diagnóstico de la enfermedad era de 6 ± 4 años. En la tabla I se muestra la comparación de las principales características antropométricas y de los parámetros espirométricos más habituales entre el grupo de pacientes con EPOC y el control. Ambos resultaron homogéneos en sus características antropométricas, así como en la frecuencia de tabaquismo y en la intensidad de este hábito.
La actividad física cotidiana, registrada mediante un acelerómetro, entre un viernes y un domingo fue menor en los pacientes con EPOC que en los controles (184 ± 99 frente a 314 ± 75; p < 0,001).
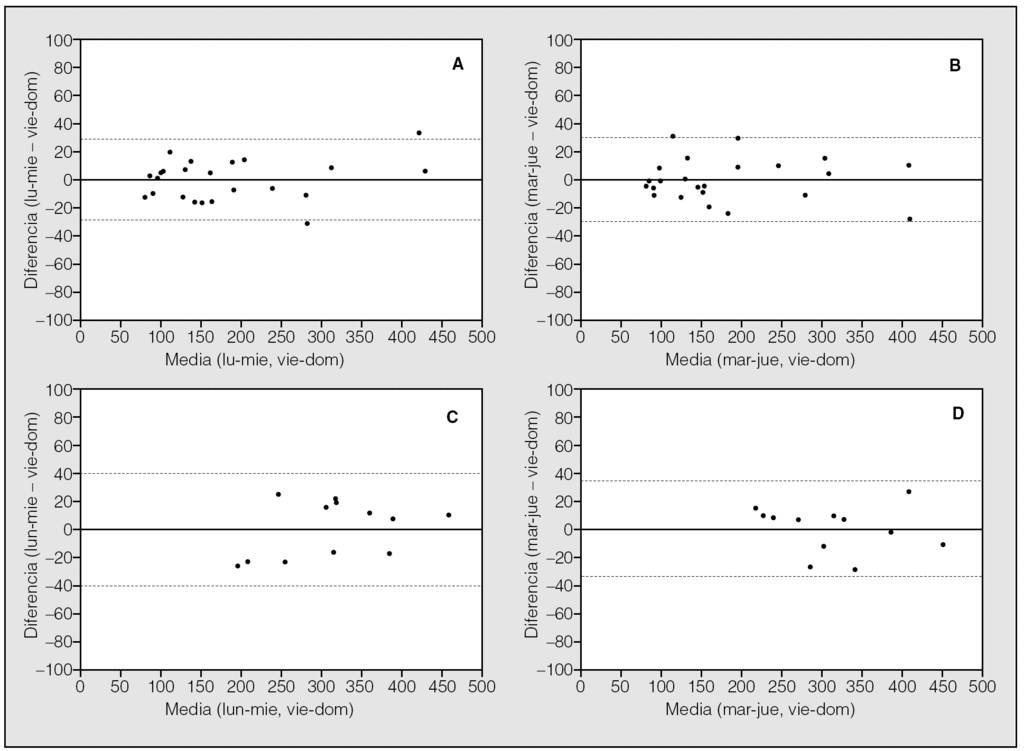
En la figura 2 se muestra el análisis de concordancia entre los períodos de registro dentro de una misma semana. En el grupo con EPOC, el registro de lunes a miércoles mantenía una buena relación con el efectuado de viernes a domingo (r = 0,979; p < 0,001), con un intervalo de concordancia del 95% de 29,21 a 28,81. De igual modo, el registro de martes a jueves también se relacionó con el de viernes a domingo (r = 0,975; p < 0,001) y su intervalo de concordancia del 95% fue de -32,13 a 28,43. En el grupo control, el registro de viernes a domingo también mantenía una estrecha concordancia con el efectuado de lunes a miércoles (intervalo de concordancia del 95%, -39,46 a 39,47) y con el de martes a jueves (intervalo de concordancia del 95%, -33,96 a 33,75). El coeficiente de variabilidad entre los 3 períodos de registro dentro de la misma semana fue muy reducido y similar en los grupos EPOC y control (0,06 ± 0,03 frente a 0,05 ± 0,02). El coeficiente de correlación intraclase promedio para todas las determinaciones efectuadas en una misma semana fue de 0,9958 (intervalo de confianza del 95%, 0,9916-0,9981) para los pacientes con EPOC y de 0,9847 (intervalo de confianza del 95%, 0,9603-0,9952) para los sujetos sanos.
Fig. 2. Representación de la concordancia del vector de desplazamiento entre los 3 períodos de registro intrasemanal en los pacientes con EPOC (A y B) y en los controles (C y D). La línea horizontal continua representa la media de las diferencias. Las líneas discontinuas representan los límites superior e inferior del intervalo de concordancia del 95%.
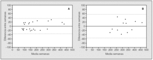
La reproducibilidad de las determinaciones de la actividad física cotidiana repetidas en el período de 3-5 semanas se presenta en la figura 3. El coeficiente de reproducibilidad del VMU a medio plazo de los pacientes con EPOC (11,2 ± 4,6%) no resultó significativamente diferente del de los controles (8,5 ± 4,7%).
Fig. 3. Reproducibilidad de las determinaciones de la actividad física cotidiana realizadas en las 2 semanas del estudio, en pacientes con EPOC (A) y en controles (B). La línea horizontal continua representa la media de las diferencias y las líneas discontinuas corresponden a los límites superior e inferior del intervalo de concordancia del 95%.
Discusión
Los resultados del presente estudio confirman que los pacientes con EPOC tienen una actividad física cotidiana menor que los sujetos sanos y que su determinación mediante un acelerómetro triaxial posee una buena concordancia entre diferentes períodos de registro en una misma semana y una aceptable reproducibilidad a medio plazo.
En el mercado hay diversos tipos de acelerómetros, que pueden ser monoaxiales y triaxiales. Los primeros miden los movimientos en un único plano del espacio, como sucede con el modelo Caltrac (Sports Research Corporation, San Pedro, CA, EEUU), que se ha empleado para estudiar la actividad física y el consumo de energía en sujetos sanos y en pacientes con EPOC17. Los acelerómetros triaxiales permiten registrar el movimiento en los 3 ejes del espacio, por lo que se considera que resultan más sensibles en la detección de cambios de pequeña magnitud18. También se han utilizado en pacientes con EPOC19. Sin embargo, el tipo de acelerómetro no parece influir de forma relevante en el registro de la actividad física cotidiana. Welk et al25, que analizaron la concordancia entre diferentes modelos de acelerómetros (CSA, Tritrac y Biotrainer) durante el ejercicio de grado moderado y durante las actividades de la vida cotidiana, encontraron una correlación muy alta entre los 3 equipos, tanto para las actividades moderadas (r = 0,86) como para las actividades de la vida diaria (r = 0,70). En contraste con nuestros resultados, estos autores hallaron diferencias significativas entre registros realizados en distintos días de la semana25. Esta discrepancia parece atribuible a las características de los sujetos estudiados, puesto que en la serie de Welk et al25 eran voluntarios sanos con edad inferior a 65 años, es decir, sujetos laboralmente activos. Cabría suponer que en personas de mayor edad, sin trabajo activo (por jubilación o incapacidad laboral) y con una enfermedad que limita su actividad física habitual, haya una tendencia hacia la homogeneización de las actividades a lo largo de la semana.
No obstante, las diferencias debidas al día de la semana en que se realiza el estudio tampoco parecen relevantes en sujetos sanos, al menos entre los varones. Matthews et al26 registraron la actividad física de 92 personas sanas mediante un acelerómetro monoaxial y la evaluaron en función del cálculo teórico de calorías consumidas. Comprobaron que en varones no había diferencias significativas en la actividad detectada en cualquier día de la semana. Por el contrario, en las mujeres la actividad física resultaba ligeramente superior el sábado frente al resto de la semana, a expensas de un mayor tiempo de actividad física. Estos hallazgos concuerdan con nuestros resultados, sobre todo si se considera que tanto entre nuestros pacientes con EPOC como entre los sujetos sanos predominaba el sexo masculino. De hecho, se ha estimado que en las personas sanas el día de la semana no origina una variación superior al 1-8% en la medida de la actividad física mediante un acelerómetro26.
En el presente estudio se eligió el acelerómetro triaxial Tritrac RT3 por su elevada sensibilidad, así como por su fiabilidad y validez. Nichols et al27 evaluaron este sensor en 60 sujetos jóvenes durante la realización de ejercicio de diferente intensidad. Comprobaron que alcanzaba una alta fiabi lidad dentro del mismo día y una gran sensibilidad a cambios de velocidad, y que permitía diferenciar correctamente actividades leves, moderadas e intensas, al tiempo que proporcionaba una adecuada estimación del gasto energético27. En un grupo de ancianos, Kochersberger et al28 compararon la fiabilidad, estabilidad y validez del registro de la actividad física proporcionado por el acelerómetro triaxial Tritrac y un acelerómetro monoaxial. Comprobaron que el modelo triaxial discriminaba mejor diferentes grados de actividad física y tenía una mejor reproducibilidad intersemanal.
Los estudios en que se han empleado acelerómetros para evaluar la actividad física cotidiana de pacientes con EPOC son escasos. Con un acelerómetro triaxial, Steel et al19 registraron la actividad física durante las actividades de la vida diaria y al caminar en pacientes estables con EPOC grave (volumen espiratorio forzado en el primer segundo un 37% del valor de referencia) incluidos en un programa de rehabilitación. Encontraron una buena correlación con la distancia recorrida en la prueba de la marcha de 6 min, con la disnea y con el grado de limitación al flujo aéreo. Sin embargo, otros autores20 no lograron demostrar diferencias en la actividad física en relación con la gravedad de la EPOC, probablemente por el escaso tamaño muestral de su estudio. También resulta llamativa la falta de relación entre la actividad física estimada mediante un acelerómetro y la registrada por los pacientes en un diario19, quizá por el carácter subjetivo y dependiente de la memoria de la última. En cualquier caso, parece que los acelerómetros son sensores que permiten medir la actividad física de los pacientes con EPOC de forma fiable, estable y válida, proporcionando información de una dimensión funcional que previamente no era fácil evaluar.
Steel et al19 decidieron de forma arbitraria colocar el acelerómetro a los pacientes con EPOC de jueves a lunes y limitar el análisis a 3 días completos (viernes a domingo). Sin embargo, la necesidad de mantener este período fijo de registro limita su implantación en la práctica clínica habitual. La demostración, en el presente estudio, de una buena concordancia entre las medidas realizadas en 3 períodos diferentes de la semana podría suponer un avance en cuanto a una mayor disponibilidad de uso. En general, los límites de concordancia oscilan en ± 20 unidades del VMU, que, teniendo en cuenta un valor medio de 184 ± 99, resulta clínicamente muy aceptable y confirma la estabilidad de la determinación.
En cuanto a la reproducibilidad a medio plazo (3-5 semanas), en la figura 3 se aprecia que el intervalo de reproducibilidad es ligeramente superior en los sujetos sanos que en los pacientes con EPOC. Como sucedía en la serie de Welk et al25, es probable que el desarrollo de un estilo de vida más activo, tanto en relación con las demandas laborales como por la ausencia de limitación al ejercicio, justifique el comportamiento más heterogéneo de los voluntarios sanos. Sin embargo, es necesario destacar que los coeficientes de reproducibilidad de los 2 grupos del estudio son muy similares. Además, incluso en sujetos sanos se ha descrito una elevada reproducibilidad dentro del mismo día29.
A modo de conclusión, el registro de la actividad física cotidiana mediante un acelerómetro triaxial alcanza una elevada concordancia entre períodos de análisis comprendidos dentro de una misma semana y muestra una notable reproducibilidad a medio plazo, tanto en sujetos sanos como en pacientes con EPOC. Por último, se debe mencionar que los acelerómetros son instrumentos totalmente inocuos, que no originan molestias ni trastornos relevantes en el estilo de vida de los pacientes, y que su manejo resulta extremadamente sencillo.
Estudio parcialmente financiado gracias a una beca SEPAR (2004) y una beca NEUMOMADRID (2004).
Correspondencia: Dra. V. Lores.
Julio Palacios, 10, 6.º A. 28029 Madrid. España.
Correo electrónico: vloresg@hotmail.com
Recibido: 24-3-2006; aceptado para su publicación: 20-7-2006.











