Introducción
La nicotina, sustancia psicoactiva responsable de la adicción al tabaco, presenta múltiples efectos en el organismo1. Una vez inhalada con el humo del cigarrillo, tarda entre 7 y 10 s en llegar al cerebro, donde presenta acciones directas y produce liberación de diversos neurotransmisores2. Como sustancia psicoactiva, altera la función del sistema nervioso central, produciendo cambios perceptibles en el humor, en la cognición, en el afecto y en la conducta1. Estos efectos psicoactivos son percibidos por el fumador como beneficiosos y contribuyen a desarrollar y mantener el fenómeno de la adicción2,3.
Aparte de su acción sobre el sistema nervioso central, se han descrito otros efectos de la nicotina, entre ellos cambios cardiovasculares, endocrinos y metabólicos, debido a que actúa sobre casi todos los componentes del sistema endocrino y neuroendocrino, tales como catecolaminas, serotonina y glucocorticoides1. Al contrario de lo que ocurre con los efectos sobre el sistema nervioso central, muchos de estos cambios no son percibidos por el propio fumador.
Una creencia bastante universal sobre los efectos del tabaco es la que mantiene que fumar cigarrillos ayuda a controlar el peso corporal4,5. Diversos estudios demuestran que los fumadores pesan menos que los no fumadores y que dejar de fumar produce un incremento del peso6,7. Aun así, no está bien establecido el mecanismo de acción por el que se produce esta ganancia ponderal8,9. El síndrome de abstinencia por supresión de nicotina se caracteriza, entre otros, por un aumento del apetito, pero también, y de manera importante, por la presencia de síntomas relacionados con aspectos psicológicos (ansiedad, irritabilidad)10, que podrían contribuir indirectamente a las modificaciones del peso al dejar de fumar.
La ansiedad es una emoción negativa, que, al igual que cualquier otra, implica al menos 3 componentes o sistemas de respuesta: subjetivo o cognitivo; motor o conductual, y fisiológico o somático. Dentro de este último lo más característico es un incremento de la actividad del sistema nervioso autónomo, que puede reflejarse tanto en cambios externos como internos11. Todos estos cambios pueden producir un aumento de la ingesta, acompañado o no de sensación subjetiva de apetito, cuya consecuencia sería el incremento ponderal, situación que, por otra parte, acompaña a muchos estados de ansiedad.
El objetivo de nuestro trabajo ha sido evaluar la ganancia ponderal en un grupo de fumadores que permanecen abstinentes 3 meses después de dejar de fumar y valorar su relación con el grado de ansiedad.
Pacientes y métodos
Se ha realizado un estudio prospectivo, analítico y longitudinal. La población objetivo estaba constituida por fumadores atendidos en una unidad especializada de tabaquismo que permanecían abstinentes al finalizar el tratamiento. Se realizó tratamiento multicomponente (farmacológico y cognitivo-conductual) en grupo, a lo largo de 9 sesiones, con una duración de 3 meses. Los criterios de inclusión fueron: ser fumador, solicitud personal de tratamiento y aceptación por escrito de éste. Los criterios de exclusión fueron los siguientes: presencia de enfermedad psiquiátrica grave, otra drogodependencia activa y/o gestación. Antes de iniciar la deshabituación tabáquica se efectuó una historia clínica individual específica de tabaquismo, donde se decidía el tratamiento farmacológico (sustitutivo con parches de nicotina o bupropión); se recomendó a todos los pacientes el uso de chicles de nicotina a demanda.
Se estudiaron las siguientes variables: edad, sexo, dependencia a la nicotina mediante el test de Fagerström12, cigarrillos/día, paquetes-año, tipo de tratamiento farmacológico (sustitutivo con parches de nicotina o bupropión), uso de chicles de nicotina (sí/no), ganancia ponderal en kilogramos y porcentaje, índice de masa corporal (IMC) y grado de ansiedad (de rasgo y estado).
Se utilizó el criterio de abstinencia mantenida desde el inicio del tratamiento13, que se evaluó mediante autodeclaración del paciente y se validó con cooximetría en todas las visitas de seguimiento, al igual que en estudios previos14. Se consideró que el paciente no fumaba cuando la cifra de monóxido de carbono (CO) espirado era menor o igual que 10 ppm. La determinación de CO se realizó con un cooxímetro modelo Mini Smokerlyzer (Bedfont Scientific Ltd.). El peso se recogió siempre en las mismas condiciones, con el paciente vestido y descalzo, en una báscula electrónica digital Seca. Para el cálculo del IMC se midió la altura en metros y se aplicó la fórmula correspondiente (IMC = kg/m²). Se establecieron 4 categorías (peso bajo, peso normal, sobrepeso y obesidad) siguiendo las recomendaciones actuales para población española15.
La ansiedad se evaluó con el cuestionario autoaplicado STAI (State-Trait Anxiety Inventory, STAI-E/R de Spielberg), que consta de 2 escalas de autoevaluación que miden aspectos conceptuales independientes de la ansiedad: ansiedad de estado (20 ítems) y ansiedad de rasgo (20 ítems)16.
Las variables ansiedad de estado y peso se determinaron en 5 momentos a lo largo del tratamiento: antes de dejar de fumar, a la semana, al mes, a los 2 meses y a los 3 meses. En el caso del peso, la segunda evaluación se realizó a las 2 semanas, por considerar que los cambios podían ser mínimos en el intervalo de una semana.
Análisis estadístico
Todas las variables se analizaron con el programa estadístico SPSS 11.5 con Windows®, realizándose inicialmente un estudio descriptivo de todas ellas. Los resultados se expresaron como medias con sus desviaciones estándar para las variables cuantitativas, y como proporciones y frecuencias absolutas para las cualitativas. El análisis de la existencia de relaciones entre variables cualitativas se llevó a cabo mediante contrastes de la χ² de Pearson.
Para establecer posibles relaciones de la variable ganancia ponderal con el resto de variables seleccionadas se utilizaron contrastes de la t de Student de comparación de medias en el caso de las variables cualitativas y diagramas de dispersión en el caso de las variables cuantitativas.
Finalmente, para analizar la relación de la ganancia ponderal con las variables "tiempo que tarda en fumarse el primer cigarrillo" y "número de cigarrillos al día" (ambas siguiendo las categorías establecidas en el test de Fagerström), se realizaron análisis de la varianza, utilizando para las comparaciones múltiples post hoc la prueba de Tukey. Los resultados se representaron gráficamente mediante barras de error con un nivel de confianza del 95%. Para todos los contrastes se consideró la significación estadística si p ≤ 0,05.
Resultados
La población estudiada estaba constituida por 122 individuos -76 varones (62%) y 46 mujeres (38%)-, que permanecían abstinentes a los 3 meses de dejar de fumar. La edad media (± desviación estándar) de la población era de 43,9 ± 9,9 años (43,9 ± 9,8 años en los varones y 44 ± 10,2 años en las mujeres). Las características de la muestra analizada, según sexo, en relación con la edad, el patrón de consumo (incluida la determinación de CO), test de Fagerström y ansiedad de rasgo se recogen en la tabla I. Los contrastes de medias mostraron diferencias significativas entre varones y mujeres para las variables número de cigarrillos/día (p = 0,026), número de paquetes-año (p = 0,036), ansiedad de rasgo (p = 0,001) y cifra de CO (p = 0,025).
En la tabla II se muestran las frecuencias y los porcentajes, en el conjunto de la muestra y por sexos, del tipo de tratamiento farmacológico utilizado (sustitutivo de nicotina o bupropión); el 75% de la población utilizó además chicles de nicotina.
La ganancia ponderal, expresada tanto en kilogramos como en porcentaje, para la población total y por sexos se muestra en la tabla III, donde se observa que no hubo diferencias significativas entre varones y mujeres (p = 0,94 y p = 0,22, respectivamente). Solamente un 25% de la población tuvo un incremento ponderal mayor de 4,2 kg, sin que ningún paciente superarse los 9,2 kg de aumento de peso. En la figura 1 se presenta la población clasificada según las 4 categorías del IMC, y en la ta-bla IV se indica la ganancia ponderal (en kilogramos y en porcentaje) en función de las 4 categorías del IMC; se observa una ligera tendencia a una menor ganancia en los individuos con mayor IMC. La realización de los correspondientes análisis de la varianza para la ganancia ponderal, en kilogramos y porcentaje, frente al IMC categorizado no mostró diferencias significativas (p = 0,481 y p = 0,085, respectivamente).
Fig. 1. Clasificación de los pacientes según las 4 categorías del índice de masa corporal (IMC).
Al contrastar la relación existente entre la variable ganancia ponderal en kilogramos y las variables número de cigarrillos/día, puntuación en el test de Fagerström, tipo de tratamiento (sustitutivo de nicotina o bupropión), consumo de chicles de nicotina, ansiedad de rasgo y ansiedad de estado del día anterior a dejar de fumar no aparecieron diferencias estadísticamente significativas.
En el análisis de la evolución de la ansiedad de estado y de la ganancia ponderal en kilogramos a lo largo de los 3 meses, en los 5 momentos establecidos, se observó que la primera disminuía, mientras que la segunda aumentaba (figs. 2 y 3). Sin embargo, debemos destacar que este hecho no garantiza que haya una relación inversa. Se realizó un diagrama de dispersión que confirmó que no había ningún tipo de relación entre ambas variables.
Fig. 2. Evolución de la ansiedad durante el tratamiento. Pre D: antes de dejar de fumar.
Fig. 3. Evolución del peso durante el tratamiento. Pre D: antes de dejar de fumar.
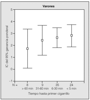
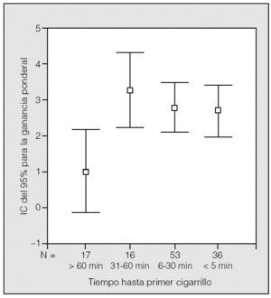
Finalmente, los análisis de la varianza entre la ganancia ponderal en kilogramos y los 2 ítems del test de Fagerström correspondientes a "tiempo que tarda en fumarse el primer cigarrillo" y "número de cigarrillos/ día" (tabla V) mostraron las siguientes relaciones. Para la variable "tiempo que tarda en fumarse el primer cigarrillo" se encontraron diferencias significativas entre sus categorías (p = 0,022). El análisis post hoc mediante el test de Tukey indicó que las diferencias más acusadas se daban entre la categoría "más de 60 min" y las categorías "entre 30 y 60 min" y "entre 6 y 30 min" (p = 0,027 y p = 0,031, respectivamente), lo que muestra claramente que los individuos que tenían una ganancia ponderal menor que el resto eran aquellos que tardaban más de 60 min en fumar el primer cigarrillo (fig. 4). Al realizar este análisis según sexo, no se encontraron diferencias significativas en el grupo de los varones (p = 0,672) (fig. 5), pero sí en el de las mujeres (p = 0,012). En este último caso, la aplicación del análisis post hoc mediante el test de Tukey corroboró que las diferencias se daban entre las categorías antes comentadas (p = 0,01 y p = 0,04, respectivamente) (fig. 6). En cuanto a la variable "número de cigarrillos/día", se encontraron diferencias en la población total (p = 0,043), pero no entre ninguna de sus categorías. Tampoco se encontraron diferencias significativas por sexo.
Fig. 4. Ganancia ponderal en las 4 categorías del ítem "tiempo hasta el primer cigarrillo" del test de Fagerström para toda la muestra. IC: intervalo de confianza.
Fig. 5. Ganancia ponderal en las 4 categorías del ítem "tiempo hasta el primer cigarrillo" del test de Fagerström, en varones. IC: intervalo de confianza.
Fig. 6. Ganancia ponderal en las 4 categorías del ítem "tiempo hasta el primer cigarrillo" del test de Fagerström, en mujeres. IC: intervalo de confianza.
Es interesante destacar que se obtuvieron las mismas conclusiones utilizando la variable ganancia ponderal en porcentaje.
Discusión
El análisis de la ansiedad muestra que la ansiedad de rasgo es mayor en las mujeres que en los varones fumadores, circunstancia que se ha descrito también en población no fumadora16. En cuanto a la evolución del grado de ansiedad de estado, al dejar de fumar se observa cómo disminuye progresivamente a lo largo de los 3 primeros meses, sin que exista relación con la evolución del peso, que, por el contrario, muestra una evolución ascendente. Puesto que el tratamiento farmacológico actúa fundamentalmente sobre el síndrome de abstinencia y la ansiedad es uno de sus síntomas principales, cabe pensar que esta disminución está condicionada en parte por el tratamiento10. Por otro lado, esta evolución en el grado de ansiedad se ha descrito en estudios previos e induce a pensar en un efecto ansiogénico más que ansiolítico de la nicotina17. La ansiedad es más intensa en las primeras semanas, pero, tal como se muestra en nuestro estudio, no justifica el incremento del peso, más relacionado con los efectos metabólicos de la nicotina que con variables psicológicas.
La ganancia ponderal media que encontramos es moderada, de 2,6 k g (3,6%), a los 3 meses de dejar de fumar. Sólo una cuarta parte de la población estudiada presenta un incremento de peso superior a los 4 kg, y en ningún caso se llega a los 10 kg; ambos datos coinciden con lo publicado en la literatura médica4-9. Efectivamente, los estudios previos muestran que hay un porcentaje reducido de individuos que tienen una ganancia excesiva, mientras que en la mayoría el incremento es moderado9,18-20. La mayor parte de los estudios describen la ganancia ponderal en kilogramos; sin embargo, con el objetivo de salvar las dificultades que representa trabajar sin considerar la altura del individuo, en el presente trabajo se decidió incorporar el incremento en porcentaje, ya que es una medida adimensional y refleja con mayor veracidad el aumento real de peso en cada individuo. Respecto a la distribución de la muestra según las categorías del IMC, es similar a la de la población española15. Se ha descrito una menor ganancia de peso en los sujetos con mayor IMC20; en este sentido, en nuestro estudio se aprecia una ligera tendencia que no alcanza la significación estadística.
La relación entre ganancia ponderal y dejar de fumar está ampliamente documentada, pero las razones que justifican esta asociación todavía no están muy claras8,19. Para explicar este hecho se han valorado diversos factores, entre ellos aspectos relacionados con la ingesta calórica, la actividad física y sobre todo los implicados directamente con los efectos metabólicos de la nicotina21. Tanto en animales de experimentación como en estudios realizados en voluntarios, la ingesta de nicotina produce un incremento del gasto energético del 10%6. Por otra parte, al suprimir la nicotina se produce un descenso de la tasa metabólica10, que algunos autores han valorado entre el 12 y el 16%21. Además, la nicotina libera noradrenalina y serotonina, sustancias ambas que producen una supresión del apetito22. Todo ello explicaría la ganancia ponderal al dejar de fumar, y también el menor peso en los fumadores respecto a los no fumadores que se ha descrito en diversos estudios epidemiológicos6,23. La recuperación del peso inicial en personas que, después de un corto período como ex fumadoras, han vuelto a fumar21, junto con el hallazgo de una relación inversa entre obesidad y consumo de tabaco en varios estudios poblacionales24,25, confirma de manera indirecta el efecto de la nicotina sobre el peso. Otros mecanismos por los que el tabaco puede contribuir a la reducción del peso incluyen acciones de la nicotina sobre la insulina y la lipasa19.
En relación con los cambios en la ingesta, se ha comunicado un mayor aporte calórico al dejar de fumar21,22, fundamentalmente a base de hidratos de carbono simples6 (dulces), que contribuiría también a la modificación del peso. Sin embargo, no se recomiendan dietas restrictivas porque pueden empeorar los resultados de deshabituación20,26. Otros factores de menor relevancia que pueden contribuir al incremento del peso son los cambios en procesos fisiológicos, como la recuperación del gusto y el olfato, y el enlentecimiento del vaciado gástrico, relacionado directamente con la supresión de la nicotina21.
Una de las medidas que se recomiendan para evitar o retrasar la ganancia ponderal son los chicles de nicotina27. En nuestro estudio se recomendó que se utilizaran a demanda, lo que hizo el 75% de los pacientes, pero no se encontraron diferencias en el peso frente a los que no los utilizaron. Se ha apuntado que el bupropión podría limitar más la ganancia de peso, efecto que no se ha confirmado de manera concluyente. En cualquier caso, no hemos encontrado diferencias según el tipo de tratamiento farmacológico empleado (sustitutivo de nicotina o bupropión), aunque ambos reducen el incremento ponderal en comparación con la no utilización de tratamiento4,27.
Respecto a la relación del peso con las variables que recogen el patrón de consumo de tabaco se ha descrito que los individuos con más dependencia a la nicotina tienen una mayor ganancia ponderal4,6,19. En nuestro estudio también aparece una relación significativa al analizar los 2 ítems del test de Fagerström más relacionados con la dependencia: número de cigarrillos/día y tiempo que tarda el paciente en fumar el primer cigarrillo.
En cuanto al sexo, encontramos diferencias en el patrón de consumo, menor en las mujeres, pero no en relación con el incremento del peso. La mayoría de los estudios describen una mayor ganancia ponderal en las mujeres al dejar de fumar. Esta circunstancia se ha descrito incluso como un obstáculo para la cesación en la mujer y como factor de inicio sobre todo en adolescentes19,28.
El papel de la nicotina como responsable del consumo de tabaco es bastante claro. Sin embargo, el tabaquismo como adicción es un proceso complejo, que incluye factores farmacológicos, de aprendizaje, de personalidad y del entorno2. Actualmente la imagen es un factor importante en las relaciones profesionales y personales, y la apariencia física constituye un valor más relacionado con la estética que con la salud19. Por este motivo, el incremento de peso que se produce al dejar de fumar, aunque moderado y transitorio, puede constituir una importante barrera para el abandono del tabaco. Diversos programas de deshabituación han incorporado estrategias, como el ejercicio físico o la restricción calórica, para evitarlo29,30. Aunque los resultados son contradictorios, ninguno de ellos logra el objetivo de evitar totalmente las modificaciones en el peso. Algunos autores proponen otras intervenciones terapéuticas cognitivo-conductuales para modificar las creencias y lograr transmitir a la población que el posible inconveniente que supone modificar el peso trae consigo enormes beneficios que compensan con creces esa modificación de la imagen corporal19,30.
En definitiva, nuestros resultados muestran que la ganancia ponderal al dejar de fumar es moderada, sin que exista relación con la ansiedad propia del proceso. Esta información debe transmitirse al fumador y no puede constituir, en ningún caso, un freno para abandonar el tabaco. En los protocolos de deshabituación tabáquica se debe realizar un seguimiento del peso y, en la medida de lo posible, recomendar la práctica de actividad física e incluir técnicas de modificación cognitiva sobre la imagen corporal.
Correspondencia:
Dra. I. Nerín.
Departamento de Medicina y Psiquiatría. Facultad de Medicina, edificio B.
Domingo Miral, s/n. 50009 Zaragoza. España.
Correo electrónico: isabelne@unizar.es
Recibido: 18-10-2005; aceptado para su publicación: 28-3-2006.


















