Evaluar si la asociación entre el índice BODE y el deterioro de la calidad relacionada con la salud de la vida es lineal para determinar las posibles asociaciones entre el índice BODE y el estado de salud evaluadas por el Saint George's Respiratory Questionnaire (SGRQ) en todos los niveles de gravedad de la enfermedad en la EPOC.
MétodosUn estudio transversal se llevó a cabo en 253 pacientes de 2 centros latinoamericanos respiratorias (Brasil y Chile) con un diagnóstico clínico de la EPOC, con base en criterios GOLD. La evaluación incluyó el índice BODE y el cuestionario SGRQ.
ResultadosLos pacientes tenían un índice BODE de 3,1±2,0; FEV1 (%) de 49±19,2; IMC (kg/m2) de 24,7±5,1; 6MWT distancia (metros) de 444±96. Se encontraron correlaciones significativas entre las puntuaciones del índice BODE y SGRQ total (r=0,5; <0,001), el impacto (r=0,45; <0,001) y la actividad (r=0,5; <0,001). La calidad de vida relacionada con la salud ya estaba comprometida en todos los dominios del SGRQ a partir de la puntuación cero en BODE. Las puntuaciones del SGRQ, dominio y total, aumentaron progresivamente para los componentes individuales del índice BODE, con la disminución de la limitación del flujo aéreo (<0,05), índice de masa corporal (<0,002) y TC6 (<0,05) y con el aumento de la modificación del Consejo de Investigación Médica (MMRC, Modified Medical Research Council) (<0,05).
ConclusiónExiste una asociación entre la calidad relacionada con la salud de la vida, según la evaluación del SGRQ y el índice BODE dentro de todo el espectro de gravedad de la EPOC. Incluso en bajos estadios de la enfermedad y con el índice BODE en cero, la calidad relacionada con la salud de la vida ya se ha deteriorado.
To evaluate if the association between the BODE index and deterioration in health-related quality of life is linear. To determine possible associations between the BODE index and health status evaluated by the Saint George's Respiratory Questionnaire (SGRQ) at all levels of disease severity in COPD.
MethodsA cross-sectional study was carried out on 253 patients from two Latin American respiratory centers (Brazil and Chile) with a clinical diagnosis of COPD, based on GOLD criteria. Assessment included the BODE index and the SGRQ questionnaire.
ResultsPatients had a BODE index of 3.1±2.0; FEV1 (%) of 49±19.2; BMI (kg/m2) of 24.7±5.1; 6MWT distance (meters) of 444±96. Significant correlations were found between the BODE index and SGRQ total scores (r=0.5; <0.001), impact (r=0.45; <0.001) and activity (r=0.5; <0.001). From BODE score zero, HRQOL was already compromised in all SGRQ domains. SGRQ scores (total and domain) increased progressively for individual components of the BODE index, with the decrease in airflow limitation (<0.05), BMI (<0.002) and 6MWT (<0.05), and with the increase in the Modified Medical Research Council (MMRC) score (<0.05).
ConclusionThere is an association between health-related quality of life, as assessed by the SGRQ and the BODE index within the entire spectrum of COPD severity. Even in early disease stages and BODE index zero, health-related quality of life is already impaired.
La enfermedad pulmonar obstructiva crónica (EPOC) se caracteriza por una obstrucción crónica del flujo aéreo que no es completamente reversible1–3. Se asocia a una respuesta inflamatoria anormal de los pulmones causada principalmente por el humo del tabaco, y su principal manifestación es la disnea. El curso crónico y progresivo de la EPOC se agrava a menudo con periodos de exacerbación de la enfermedad que afectan a la función pulmonar y a la calidad de vida4–6.
El índice multidimensional BODE incluye 4 dominios: uno que cuantifica el grado de deterioro de la función pulmonar (FEV1); uno que captura la percepción de los síntomas por parte del paciente (la escala de disnea del Modified Medical Research Council [MMRC]), y 2 dominios independientes que expresan los efectos sistémicos de la EPOC (la distancia recorrida caminando 6min y el índice de masa corporal [IMC]). Se ha demostrado que el índice BODE es un predictor de la supervivencia mejor que el FEV1 en los pacientes con EPOC7,8.
Por otro lado, los pacientes con EPOC suelen presentar una mala calidad de vida, a causa de los síntomas, la disminución de la capacidad física y el uso de medicaciones9. El deterioro de la calidad de vida relacionada con la salud (CdVRS) constituye un marcador importante en los pacientes con EPOC, puesto que refleja el impacto que tiene la enfermedad en sus vidas. Se han elaborado cuestionarios de calidad de vida para disponer de un método sencillo y no invasivo de medir la respuesta del paciente al tratamiento. Estos cuestionarios incluyen generalmente dominios relativos a los síntomas, el estado funcional, el estado de ánimo y los factores sociales10–12.
En estudios previos se ha demostrado que la calidad de vida muestra una correlación débil con el FEV17,13,14. El índice BODE, que se emplea como una expresión de la afectación sistémica en la EPOC, puede tener una mejor correlación con los cuestionarios de calidad de vida. De hecho, tanto el índice BODE como los cuestionarios de calidad de vida engloban variables relativas a los síntomas y a la capacidad física7,15. Medinas-Amorós et al.16 pusieron de manifiesto que el índice BODE tiene la capacidad de predecir el deterioro de la calidad de vida en los pacientes con EPOC. Sin embargo, todos los participantes presentaban una EPOC grave y, por tanto, sus resultados pueden no ser aplicables a todo el espectro de la enfermedad. Recientemente, Iguchi et al.17 han demostrado que cuanto más bajo es el porcentaje del FEV1 esperado, mayor es la prevalencia de la depresión, con una correlación débil. Según el índice BODE, cuanto mayor es el estadio BODE, más alta es la prevalencia de la depresión.
Nuestra hipótesis fue que existe una asociación entre el índice BODE y el estado de salud, evaluado con el Saint George Respiratory Questionnaire (SGRQ). El objetivo del presente estudio fue el siguiente: determinar mediante los datos de 2 centros de Brasil y Chile si existe una asociación entre el índice BODE y el estado de salud, evaluado con el SGRQ, en una muestra de población que incluía a pacientes de todos los niveles de gravedad de la EPOC.
Material y métodosPoblación en estudioSe llevó a cabo un estudio transversal en pacientes que presentaban síntomas característicos de EPOC y datos espirométricos indicativos de una obstrucción crónica del flujo aéreo (FEV1/FVC<0,70), compatibles con la definición propuesta por la Global Initiative for Chronic Obstructive Lung Disease (GOLD)3. Se reclutó a pacientes consecutivos de 2 centros: Federal University of São Paulo (Brasil) y Universidad Católica de Chile (Ciudad de Santiago). La gravedad de la obstrucción del flujo aéreo se evaluó con el empleo del porcentaje del FEV1 esperado, según los criterios GOLD: leve: FEV1≥80% del valor esperado; moderada: FEV1 del 50% o más y de menos del 80% del valor esperado; grave: FEV1 del 30% o más y de menos del 50% del valor esperado; muy grave: FEV1<30% del valor esperado3. Los criterios de elegibilidad fueron los siguientes: estabilidad clínica —es decir, ausencia de aumento de sibilancias—, tos, disnea o producción de esputo a lo largo de los 30días previos; ausencia de uso de corticosteroides sistémicos o de antibióticos a lo largo del mes previo, y declaración firmada de consentimiento informado16. Los criterios de exclusión fueron los siguientes: cualquier enfermedad que impidiera al paciente realizar adecuadamente las pruebas; tabaquismo actual con menos de 6meses desde haber dejado de fumar —de manera general, en nuestra Clínica Ambulatoria de EPOC, en el caso de que los pacientes con EPOC sean fumadores, se realiza un seguimiento regular en la clínica y se les remite a nuestra Clínica para Dejar de Fumar—, y comorbilidades inestables como cáncer de pulmón, diabetes, insuficiencia cardiaca, asma. El estudio fue aprobado por los comités de ética de investigación de las 2 universidades y todos los pacientes firmaron un consentimiento informado. Comité de Investigación Interno: Federal University of São Paulo, CEP 1209/05, y Universidad Católica de Chile, CE 0168/07.
EvaluacionesEl peso se determinó con una báscula calibrada, y la talla, con un estadiómetro. Se calculó el IMC dividiendo el peso en kilogramos por la altura en metros al cuadrado. Los valores del IMC se clasificaron como ≤21 y >21 según lo indicado por Celli et al.7.
La espirometría se llevó a cabo con el empleo de un espirómetro basado en tiempo de tránsito por ultrasonidos, portátil a pilas (Easy-One; Modelo 2001 Diagnostic Spirometer, NDD Medical Technologies, Zurich, Suiza). El calibrado se revisó diariamente con una jeringa de 3l. Las maniobras de espiración forzada se realizaron con el paciente sentado, según lo indicado por la American Thoracic Society (ATS), antes y 15min después de la inhalación de 400μg de salbutamol mediante un inhalador de dosis medida. Los valores esperados se calcularon según las recomendaciones de la ATS18.
La disnea se evaluó con el empleo de la escala MMRC19. La prueba de la marcha de 6min (6MWT) se llevó a cabo caminando por un pasillo recto de 25m, con un estímulo verbal estandarizado aplicado cada minuto, siguiendo las recomendaciones de la ATS20. Se realizaron 2 pruebas de la marcha el mismo día, la segunda de ellas después de un intervalo mínimo de 45min, cuando todas las variables fisiológicas habían recuperado los valores basales. Se utilizó para el análisis la distancia máxima obtenida en las 2 pruebas.
Se calculó el índice BODE tras obtener todas las variables necesarias (IMC, obstrucción del flujo aéreo, disnea y capacidad de ejercicio). Cada variable se distribuyó en una escala de 0 a 3, excepto el IMC, que se consideró una variable dicotómica (0 o 1). La suma de las variables corresponde a una puntuación del índice BODE de 0 a 107.
El estado de salud se evaluó mediante la administración del cuestionario específico SGRQ con 76 ítems y 3 dominios: síntomas, actividad e impacto de la enfermedad en la vida cotidiana. El SGRQ fue autoadministrado por cada paciente. Las puntuaciones tomaban valores entre 0 (mejor estado de salud) y 100 (peor estado de salud). Se sumaron las puntuaciones ponderadas de cada dimensión. Las puntuaciones de subescalas y total de la calidad de vida de las ponderaciones sumadas se dividieron por la ponderación máxima posible de cada dimensión. Cada puntuación se expresó en forma de porcentaje de la puntuación máxima posible. El SGRQ ha sido validado anteriormente en lengua portuguesa brasileña10 y en lengua española21.
Análisis estadísticoLas variables continuas se presentan en forma de media±DE. Las variables discretas se expresan mediante números absolutos y porcentajes del total. Se utilizó la prueba de normalidad de Kolmogorov-Smirnov para evaluar la distribución de los datos de las variables. Se comparó a los pacientes de Brasil y Chile con el empleo de una prueba de t de Student para muestras independientes y mediante una prueba de χ2. Para otros análisis adicionales se utilizó la prueba de Levene para la igualdad de varianzas y el análisis de la varianza (ANOVA) cuando fueron necesarios. Para las comparaciones múltiples se aplicó la prueba post hoc de Tukey. Se utilizó el coeficiente de correlación lineal de Pearson para determinar las asociaciones entre las variables numéricas. La significación estadística se estableció en un valor de p<0,05. El tamaño muestral se calculó con el empleo del coeficiente de correlación más bajo obtenido para α=0,01 y β=0,20, que determinó la inclusión de un mínimo de 67 individuos22.
ResultadosSe evaluó un total de 253 pacientes con EPOC (103 brasileños y 150 chilenos); 70% de varones; media de edad de 66±8,7años; media de FEV1/FVC 0,60±0,17; media de FEV1 47±19,2% del esperado, y media de FVC 78±19,5% del esperado. Utilizando el valor medio de IMC de 24,7±5,1kg/m2, se clasificó a los pacientes como de estado nutricional normal. La distancia media recorrida en la 6MWT fue de 444±96,0m. La media de la puntuación total del índice BODE fue de 3,1±2,0. En la tabla 1 se presentan las características basales de los pacientes correspondientes a los 2 centros. Globalmente, no hubo ninguna diferencia entre los pacientes de ambos centros.
Características de los pacientes del conjunto del grupo y separados por centros
| Variables | Todos los pacientes (n=253) | Chilenos (n=150) | Brasileños (n=103) | p |
|---|---|---|---|---|
| Sexo, n (%) | ||||
| Masculino | 178 (70) | 103 (69) | 75 (73) | NS |
| Femenino | 75 (30) | 47 (31) | 28 (27) | NS |
| BODE (puntuación) | 3,1±2,0 | 2,8±1,8 | 3,8±2,3 | < 0,001 |
| Edad (años) | 66±8,7 | 67±8,1 | 65±9,8 | NS |
| IMC (kg/m2) | 24,7±5,1 | 24,9±4,2 | 24,1±6,2 | NS |
| FEV1/FVC | 0,60±0,17 | 0,62±0,17 | 0,58±0,17 | NS |
| FEV1(l) | 1,22±0,54 | 1,24±0,53 | 1,17±0,56 | NS |
| FEV1(%) | 47±19,2 | 48±19,1 | 45±18,3 | NS |
| GOLD1, n (%) | 15 (5,9) | 9 (5,8) | 6 (6,2) | NS |
| GOLD2, n (%) | 82 (32,4) | 54 (35,1) | 28 (29,3) | NS |
| GOLD3, n (%) | 98 (38,7) | 60 (39,2) | 38 (39,1) | NS |
| GOLD4, n (%) | 58 (22,9) | 33 (21,1) | 25 (26,1) | NS |
| FVC (l) | 2,72±0,83 | 2,71±0,83 | 2,73±0,82 | NS |
| FVC (%) | 78±19,5 | 78±19,5 | 77±19,4 | NS |
| 6MWT (m) | 444±96 | 442±88,3 | 446±111,2 | NS |
| MMRC | 2±1,2 | 2±0,8 | 3±1,1 | < 0,001 |
| SGRQ (%) | ||||
| Síntomas | 49,7±21,1 | 47,1±19,6 | 54,2±22,7 | < 0,001 |
| Actividad | 67,22±0,9 | 68,6±21,7 | 66,2±19,8 | NS |
| Impacto | 45,1±22,4 | 46,2±22,1 | 44,6±22,9 | NS |
| Total | 52,3±19,0 | 53,2±19,1 | 52±19,2 | NS |
FEV1 (%): volumen espiratorio forzado en el primer segundo, % del esperado; FEV1 (l): volumen espiratorio forzado en el primer segundo; FEV1\FVC: cociente de volumen espiratorio forzado en el primer segundo\capacidad vital forzada; FVC (%): capacidad vital forzada, % del esperado; FVC (l): capacidad vital forzada; IMC: índice de masa corporal; Índice BODE: índice de masa corporal, volumen espiratorio forzado en el primer segundo, Modified Medical Research Council y prueba de distancia recorrida en 6min, en metros; MMRC: Modified Medical Research Council; 6MWT (m): distancia recorrida en 6min, en metros.
Los datos se presentan en forma de media±DE o número (%).
Se observaron correlaciones significativas entre el índice BODE y los dominios del SGRQ: síntomas (r=0,28; <0,001), actividad (r=0,52; <0,001), impacto (r=0,45; <0,001) y puntuación total (r=0,50; <0,001).
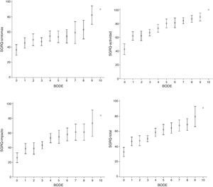
En la tabla se muestran los valores de las puntuaciones de los dominios del SGRQ (síntomas, actividad, impacto y total) frente a las puntuaciones de BODE individuales según su estratificación, para el IMC (kg/m2) (<0,002), para la obstrucción (FEV1) (<0,05), para la disnea (MMRC) (<0,05) y para el ejercicio (6MWT) (<0,05) (tabla 2). Todos los dominios mostraron una conducta muy similar, e incluso a una puntuación de BODE cero la CdVRS estaba por encima del 10%, lo cual indica una alteración de la calidad de vida a medida que aumentaba la puntuación BODE, que era simultánea al deterioro de la calidad de vida. Estas asociaciones no mostraban una relación lineal y pueden apreciarse con mayor claridad en la figura 1.
Puntuación media de los dominios del Saint George's Respiratory Questionnaire (SGRQ) frente al índice de masa corporal (IMC), el volumen espiratorio forzado en el primer segundo (FEV1), el Modified Medical Research Council (MMRC) y la prueba de distancia recorrida en 6min (6MWT) según los estratos del BODE
| Variables | n | Síntomas | Actividad | Impactos | Total |
|---|---|---|---|---|---|
| IMC (kg/m2) | |||||
| (0)>21 | 190 | 48,5±20,8 | 65,5±21,3 | 43,4±22,7 | 50,6±19,3 |
| (1)≤ 21 | 63 | 53,6±21,8 | 74,4±18,4 | 51,8±20 | 59,0±17,1 |
| Valores de p | > 0,05 | < 0,002 | < 0,01 | < 0,002 | |
| FEV1(% del esperado) | |||||
| > 65 | 49 | 38,3±19,1 | 53,8±22,2 | 33,7±20,7 | 40,7±17,9 |
| 50-65 | 53 | 50,6±21,9 | 63,8±17,2 | 40,7±21,3 | 48,9±17,5 |
| 35-49 | 69 | 52,6±22,3 | 69,0±21,5 | 48,6±24,0 | 54,8±20,1 |
| < 35 | 82 | 53,8±18,4 | 77,4±16,5 | 53,1±17,3 | 60,6±15,1 |
| Valores de p | < 0,05 | < 0,05 | < 0,05 | < 0,05 | |
| Grado de disnea MRCC | |||||
| 0-1 | 86 | 42,5±20,1 | 54,5±22,6 | 33,0±19,7 | 41,0±17,9 |
| 2 | 95 | 50,8±18,9 | 71,5±16,9 | 47,1±19,6 | 55,1±15,2 |
| 3 | 53 | 56,1±22,3 | 76,6±15,7 | 57,4±22,4 | 62,1±18,6 |
| 4 | 19 | 60,1±22,8 | 83,8±18,1 | 61,0±16,3 | 67,8±13,5 |
| Valores de p | < 0,05 | < 0,05 | < 0,05 | < 0,05 | |
| 6MWD (m) | |||||
| ≥ 350 | 217 | 48,8±22,7 | 65,6±20,3 | 42,8±21,6 | 50,9±18,3 |
| 250-349 | 29 | 55,9±19,1 | 79,2±21,8 | 56,6±23,5 | 63,4±19,7aa |
| 150-249 | 5 | 40,8±13,2 | 82±13,6 | 41,5±24,1 | 53,8±20,9 |
| 150 | 2 | 89,2±11,2 | 96,2±15,3 | 83±12,4b | 88,7±13,5b |
| Valores de p | < 0,05 | < 0,05 | < 0,05 | < 0,05 | |
Los datos se presentan en forma de media±DE. SGRQ frente a categorías de IMC del índice BODE según una prueba de t para muestras independientes. SGRQ frente a FEV1, MMRC, 6MWT y categorías del índice BODE según una prueba de ANOVA con Tukey post hoc.
Puntuaciones de dominios y puntuación total del Saint George's Respiratory Questionnaire (SGRQ) frente al índice BODE. Los datos se presentan en forma de media (EES). Las flechas verticales indican el cambio en la puntuación del SGRQ. Todos los dominios del SGRQ muestran un aumento al pasar de la puntuación BODE de cero a la puntuación de 1, y tras ello se observa una estabilidad hasta la puntuación BODE de 3, en la que se aprecia claramente otro aumento en el SGRQ. Igual que antes, hubo una relativa estabilidad de la calidad de vida relacionada con la salud (CdVRS) al pasar de las puntuaciones BODE 4 a 7.
En la figura 1 se muestra como todos los dominios del SGRQ presentaban ya un compromiso a la puntuación de BODE de cero. En la transición de la puntuación BODE cero a la puntuación 1 hubo un aumento brusco de 14 puntos en todos los dominios. Desde este punto hasta una puntuación BODE de 3, el SGRQ se mantenía estable, pero luego había otro aumento brusco de 8 unidades. Posteriormente, el SGRQ mostró una estabilidad relativa entre las puntuaciones BODE 4 a 7.
En la figura 2 se indican las puntuaciones de los dominios y la puntuación total del SGRQ frente al cuartil del índice BODE. Se observó una conducta similar en la figura 1, de tal manera que cuanto peor era la calidad de vida, mayor era el cuartil del índice BODE.
DiscusiónDurante muchos años se ha utilizado el FEV1 como único parámetro predictivo de la mortalidad en los pacientes con EPOC7,8,23. Sin embargo, el FEV1 muestra una correlación débil con los síntomas, la calidad de vida, la frecuencia de las exacerbaciones y la intolerancia al ejercicio24,25. Además, aunque el FEV1 es esencial para el diagnóstico y la cuantificación del deterioro respiratorio causado por la EPOC, no refleja adecuadamente las manifestaciones sistémicas de la enfermedad. El índice BODE se elaboró como índice multisistémico que asocia el FEV1 a un parámetro relacionado con la percepción de los síntomas (escala de disnea de MMRC) así como a 2 dominios independientes que expresan las consecuencias sistémicas de la EPOC (distancia recorrida en la 6MWT e IMC). Celli et al.7 demostraron claramente la superioridad de este índice multisistémico respecto al FEV1 como parámetro predictivo de la mortalidad en los pacientes con EPOC.
Medinas-Amorós et al.16 demostraron la existencia de una asociación entre la CdVRS y el índice BODE en los pacientes con EPOC grave. Sin embargo, dado que no evaluaron a pacientes con EPOC leve o moderada, los resultados de su estudio pueden no ser aplicables a otros estadios de la enfermedad. En un segundo estudio, el mismo grupo evaluó la asociación entre la CdVRS y la gravedad de la EPOC según el estadio GOLD y el índice BODE en una muestra pequeña de 64 pacientes, y sugirió que la gravedad de la EPOC evaluada con el índice BODE mostraba una relación con la CdVRS más estrecha que la del estadio GOLD26. Araujo et al.27 correlacionaron el índice BODE con la CdVRS en pacientes con EPOC en una muestra pequeña de 42 pacientes. Se dividió a los pacientes en 2 grupos según la gravedad de la enfermedad: FEV1≥50% y FEV1<50%, y se llegó a la conclusión de que la puntuación del índice BODE estaba correlacionada realmente con todos los dominios del SGRQ, pero tan solo en el subgrupo de pacientes con un FEV1<50%.
El principal resultado del presente estudio fue que con una puntuación BODE de cero la CdVRS está comprometida ya en todos los dominios del SGRQ. Vale la pena mencionar también que la relación no es lineal, tal como se aprecia en las figuras 1 y 2. Todos los dominios del SGRQ muestran un aumento brusco al pasar de la puntuación BODE de cero a la puntuación de 1, y tras ello se observa una estabilidad hasta la puntuación BODE de 3, en la que se aprecia claramente otro aumento brusco en el SGRQ. Igual que antes, hubo una relativa estabilidad de la CdVRS al pasar de las puntuaciones BODE 4 a 7. Esta falta de correlación lineal de la puntuación BODE y la CdVRS es muy interesante, pero al mismo tiempo resulta intrigante. Se ha demostrado ya que el deterioro de la CdVRS en los pacientes con EPOC no presenta una relación lineal con el aumento de la gravedad de la enfermedad28. Según lo indicado por nuestros datos, estas estabilizaciones sugieren que los pacientes pueden adaptarse a esta limitación creciente hasta llegar a un punto crítico que supere dicha capacidad. En esos puntos críticos la CdVRS experimenta un nuevo deterioro. Así pues, complementando lo observado en los resultados de Medinas-Amorós et al.26, hemos puesto de relieve que en pacientes con EPOC representativos de todos los estadios de la enfermedad hay una asociación entre el SGRQ y el índice BODE.
En el presente estudio, las mejores asociaciones entre el estado de salud y el índice BODE se dieron en el dominio de la actividad física (6MWT), lo cual refleja en parte el carácter sistémico de la EPOC (r=0,52; <0,001). Caminar forma parte de la vida cotidiana de los pacientes y depende de la función respiratoria y, además, del estado cardiopulmonar, nutricional y de la musculatura periférica29,30. Estos resultados ponen claramente de manifiesto que la limitación funcional en los pacientes con EPOC afecta a su calidad de vida31. Watz et al.32 han puesto de manifiesto anteriormente que los pacientes con una EPOC moderada (estadio GOLD2) que presentan una puntuación de 1 en el índice BODE tienen una actividad física limitada. Esto puede sugerir que los pacientes con EPOC, aunque se encuentren en los estadios iniciales de la enfermedad, deben ser remitidos a rehabilitación.
Una reciente guía española para el tratamiento de la EPOC (GesEPOC)33 ha propuesto que el tratamiento de la enfermedad debe orientarse en función del fenotipo y de la intensidad del tratamiento según su gravedad. La evaluación de la gravedad debe basarse en el índice BODE multisistémico, o BODEex, que clasifica la enfermedad en 4 estadios: leve, moderada, grave y muy grave. Según este documento, nuestros pacientes deben clasificarse en el estadio moderado oii, puesto que la puntuación media del índice BODE es de 3 con un gran impacto en la calidad de vida. El documento GOLD ha reconocido también que el FEV1 es esencial pero no basta para clasificar a un paciente y lo asocia con la disnea (Medical Research Council), las exacerbaciones y hospitalizaciones, la calidad de vida (COPD Assesment Test) y el estado clínico (COPD Clinical Questionnaire)34.
El SGRQ es un cuestionario específico para la enfermedad respiratoria. Consta de 3 dominios, que en cierta medida expresan el estado sistémico del paciente (dominios de actividad e impacto). Sin embargo, las respuestas dadas a las preguntas del SGRQ son una expresión de las sensaciones del paciente en ese momento, y por tanto pueden verse influidas por su estado de ánimo en cada momento de valoración, lo cual hace que estas respuestas sean algo subjetivas34. En cambio, los 4 dominios del índice BODE son bastante objetivos, puesto que se basan en mediciones directas7. La asociación satisfactoria observada entre los 2 instrumentos implica que uno complementa al otro y que ambos podrían usarse para evaluar mejor a los pacientes con EPOC. Lin et al.35 respaldan nuestros resultados al concluir que el índice BODE podría tener aplicabilidad en el uso como instrumento sensible para evaluar la situación de calidad de vida y para realizar un seguimiento de la progresión de la enfermedad en los pacientes con EPOC estables. Recientemente, Marin et al.36 han puesto de manifiesto que ambos instrumentos —el índice BODE y el SGRQ— predicen la mortalidad y aportan una información complementaria en la evaluación de los pacientes con EPOC. Jones et al.37 observaron un deterioro notable de la CdVRS en la enfermedad de carácter más leve, y hubo pocas diferencias en el grado de deterioro entre los pacientes en estadio GOLDI y II. Hubo una variación muy amplia en la CdVRS de los pacientes dentro de cada uno de los estadios GOLD. La conclusión de estos autores es que la determinación de la CdVRS debe incluirse de manera sistemática en la evaluación y el seguimiento de los pacientes con EPOC en atención primaria.
El avance en este campo está en que determinados instrumentos empleados para la evaluación basal pueden aportar una información específica que influya en la práctica clínica; por ejemplo, la puntuación BODE cero puede servir de guía al médico y podría permitir la identificación de individuos que requieren una especial atención para la rehabilitación.
Cote y Celli38 demostraron que los pacientes con EPOC a los que se aplicaban las medidas de un programa de rehabilitación presentaban una disminución de la puntuación del índice BODE, pero no describieron que el programa de rehabilitación pudiera haber tenido influencia alguna en la calidad de vida. Los cuestionarios de calidad de vida son útiles para mostrar las percepciones de los pacientes respecto a su enfermedad y el impacto que esta les puede causar. Hemos mostrado la existencia de una buena asociación entre la calidad de vida y el índice BODE, que nos hace pensar que los pacientes de Cote y Celli pueden haber presentado también una mejora de la calidad de vida, aparte de la reducción del riesgo de mortalidad. Sin embargo, hasta el momento ningún estudio ha mostrado una mejora de la calidad de vida dentro del mismo nivel de BODE.
Aunque el presente estudio estuvo bien diseñado y tuvo un tamaño muestral grande, tiene la limitación de que el número de mujeres incluidas fue bajo, lo cual refleja el hecho de que el número de pacientes que son visitadas en nuestra clínica es inferior al número de varones. No obstante, esto se ha observado en diversos estudios de la EPOC y la rehabilitación pulmonar, lo cual pone de manifiesto que se trata de un patrón general.
En conclusión, el presente estudio ha puesto de manifiesto la existencia de una asociación entre la CdVRS (evaluada mediante el SGRQ) y el índice BODE para todo el espectro de gravedad de la EPOC. El dominio de actividad del SGRQ fue el que mostró la máxima asociación con la puntuación BODE. Los pacientes con EPOC que presentan una puntuación BODE de cero muestran ya una baja calidad de vida y su deterioro es escalonado, lo cual sugiere que esos pacientes se adaptan gradualmente por sí mismos hasta que llegan a un nuevo nivel de la enfermedad. Que nosotros sepamos, este es el primer estudio que ha evaluado la relación entre el índice BODE y el estado de salud mediante el empleo de un cuestionario específico para la enfermedad de las vías respiratorias (SGRQ) en una muestra amplia de pacientes que incluye todos los niveles de gravedad de la enfermedad.
Conflicto de interesesLos autores declaran no tener ningún conflicto de intereses.











